Question: must use the formulas provided 3. Mr. Smith has arranged for a mortgage loan of $200,000. The annual rate on the loan is 12%. The
must use the formulas provided


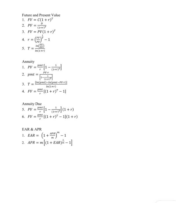
3. Mr. Smith has arranged for a mortgage loan of $200,000. The annual rate on the loan is 12%. The bank requires Mr. Smith to make payments of $4,212.90 at the end of every month. How many payments will Mr. Smith have to make? Future and Present Value 1. FV = C(1+r)" 2. PV = (1+r)? D 3. FV = PV (1 + r)" (EV) 4. r= 5. T = In(1+r) PV. Annuity 1. PV = pt 1 (1+r) 2. pmt = 3. T = (in(pmt)-In(pme-PVr)! In(1+r) pmt 4. FV Epp: ((1+r) - 1] (1) Annuity Duc 5. PV = "ht [1 - (0+1)](1+r) 6. FV = PME (1+r)" - 1](1+r) EAR & APR 1. EAR = (1 + R" - 1 2. APR = m((1 + EAR) - 1
Step by Step Solution
There are 3 Steps involved in it
1 Expert Approved Answer
Step: 1 Unlock
Question Has Been Solved by an Expert!
Get step-by-step solutions from verified subject matter experts
Step: 2 Unlock
Step: 3 Unlock
