Question: My function is: f(x) = (x + 5.371)^2*(x-100) My initial guess is x0 = 0 I have to use the Newton Raphson method and 1st
My function is: f(x) = (x + 5.371)^2*(x-100) My initial guess is x0 = 0 I have to use the Newton Raphson method and 1st modified Newton Raphson method to find the root at x = -5.371 for the function. I am also asked to report the number of iterations required to reach 6 sig. figs of accuracy.
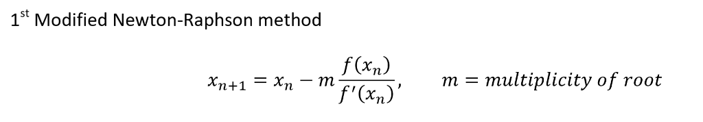
I would like to know if my code is good for the Newton Raphson method and also for the modified Newton Raphson method, what is the (m = multipiclity of root) value that I must use? I have no code for it as I am confused as to what the value of m that I must use is. Is it the 2 (aka the power for the first parenthesis) in f(x) = (x + 5.371)^2*(x-100)?
This is the modified Newton-Raphson method that I must use
Here is the code for the Newton Raphson method:
clear all; close all; clc; SF = 6; %number of desired sig figs z = 0; %initial value x0 i = 1; % declare (i) value first because we don't know how many (i)'s it will take to get to our desired value of iterations given the number of sig figs (which is 43) f = @(x) ((x+5.371)^2)*(x-100); %function f(x) df = @(x) (3*x^2)-(178.516*x)-1045.352359; %derivative of function f(x) h = @(x) x - f(x)/df(x); %newton raphson formula while (1) z(i+1) = h(z(i)); %with this program, you can find out the number of iterations it takes to get to a certain amount of sig figs. This line prints out a value of z based on i and i+1 error = abs((z(i+1)-z(i))/z(i)); %you print out a bunch of numbers with your function starting with i = 1, and you use the previous value and the current value in your absolute error equation if error 1st Modified Newton-Raphson method f(%) mRnn , m - multiplicity of root 1st Modified Newton-Raphson method f(%) mRnn , m - multiplicity of root
Step by Step Solution
There are 3 Steps involved in it
Get step-by-step solutions from verified subject matter experts
