Question: mySQL 0.2) (25 points) Use the ex database for this question. Write a query that replicates the result set below matching all data and format
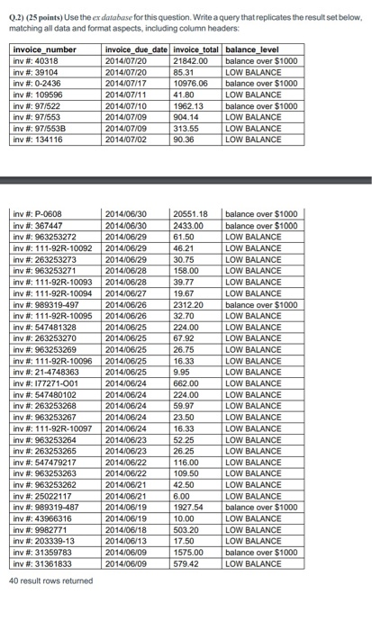
0.2) (25 points) Use the ex database for this question. Write a query that replicates the result set below matching all data and format aspects, including column headers: invoice number inv #: 40318 inv #: 39104 inv #: 0-2436 inv #: 109596 invoice due date invoice total balance level 2014/07/20 21842.00 balance over $1000 2014/07/20 2014/07/17 2014/07/11 2014/07/10 LOW BALANCE 10976.06 balance over $1000 LOW BALANCE balance over $1000 LOW BALANCE LOW BALANCE LOW BALANCE inv #.97/5538 inv #: 134116 2014/07/09 313 2014/07/02 90.36 nv #: P-0608 inv #: 367447 inv #: 963253272 inv #:111-92R-10092 inv #: 263253273 inv #: 963253271 inv #:111-92R-10093 inv #: 111-92R-10094 inv #: 989319-497 inv #:111-92R-10095 inv #: 54 748 1 328 inv #: 263253270 inv #:963253269 inv #:111-92R-10096 inv #: 21-4748363 inv #: 177271-001 inv #: 547480102 inv #:263253268 inv #:963253267 inv #:111-92R-10097 inv #: 963253264 inv #: 263253265 inv #: 547479217 inv #: 963253263 inv #: 963253262 inv #: 25022117 inv #: 989319-487 20551.18 balance over $1000 2433.00 balance over $1000 | 2014/06/29 | 2014/06/28 | 2014/06/28 | 2014/06/27 | 158.00 | LOW BALANCE LOW BALANCE LOW BALANCE balance over $1000 | 20140626 2014/06/25 LOW BALANCE LOW BALANCE LOW BALANCE LOW BALANCE | 2014/06/25 |20140625 | 26.75 | 1633 | 2014/06/24 | 2014/06/24 | 20140624 | 59 | 23.50 LOW BALANCE LOW BALANCE LOW BALANCE LOW BALANCE LOW BALANCE LOW BALANCE LOW BALANCE LOW BALANCE 2014/06/22 2014/0621 |20140619 |1927.54 |balance over S1000 v #: 43966316 nv #: 9982771 inv #: 203339-13 inv #: 31359783 inv #: 31361833 LOW BALANCE 1575.00 balance over $1000 40 result rows returned om Tables customers Columns customer id customer_first_name customer-last_name customer address customer_city customerstate - customer zip customer-phone customerfax - Ep indexes PRIMARY Foreign Keys Triggers tems ] Columns item_id title |Columns itemid title artist indexes unit-price PRIMARY | title-artist-unq Foreign Keys Triggers order_details CD] Columns order_id itemid order_qty PRIMARY order_details_fk_items EP indexes E Foreigner-detailsfkfterms Foreign Keys order details fk orders and orderdetailsfkorders - - - Triggers orders Columns order id customer_id orderdate shipped date - indexes PRIMARY orders fk customers Foreign Keys orders_fk_customers Triggers Views Stored Procedures Functions sakila sys world
Step by Step Solution
There are 3 Steps involved in it
Get step-by-step solutions from verified subject matter experts
