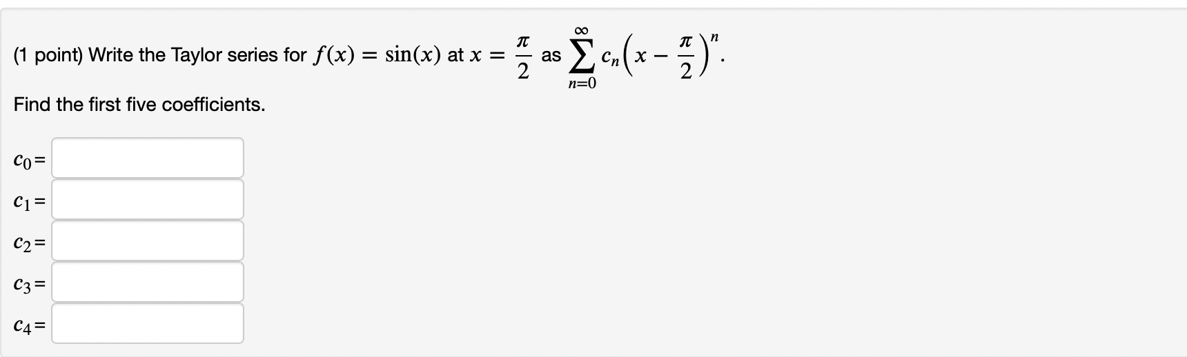
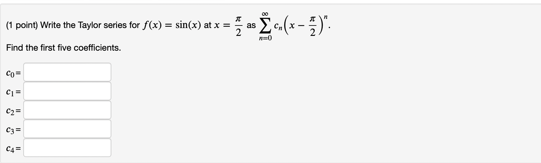
Question: n (1 point) Write the Taylor series for f(x) = sin(x) at x = N A as Cn X - n=0 Find the first five


n (1 point) Write the Taylor series for f(x) = sin(x) at x = N A as Cn X - n=0 Find the first five coefficients. CO= C2= C3 = C4=
Step by Step Solution
There are 3 Steps involved in it
Get step-by-step solutions from verified subject matter experts
