Question: n b c) It turns out. for any integrable function f{$), f f(1:) {11 g ] |f(1:)| dz. Explain in words a G. Why you

![f f(1:) {11" g ] |f(1:)| dz. Explain in words a G.](https://s3.amazonaws.com/si.experts.images/answers/2024/06/6668512151bb9_545666851213749d.jpg)






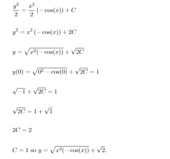
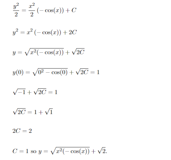
n b c) It turns out. for any integrable function f{$), f f(1:) {11" g ] |f(1:)| dz. Explain in words a G. Why you think this is so. Problem 3: I may have mentioned in class that being able to pull specific things outside of limits turns out to be very difficult in higher math classes. This question investigates a similarly important phenomenon. a) Show, by calculation, that 31 /2 3x /2 b) Show, by calculation, that cos(z) da s | cos(r) | d.x.(- cos(x)) + C 12 = 1' (- cos(x)) + 20 y = vx2(-cos(x)) + V20 y(0) = V02 - cos(0) + v20 = 1 V-I+ V20 =1 V20 = 1+ VI 20 = 2 C = 1 so y = VI'(-cos(x)) + V2.Problem 5: A student answers a homework question of .' \"Find 3; given that E1\" = \"mm and y(0) = 1.'= as follows. Identify and explain the E mistakes the}.r make in their work: f ydy = / zsin(1:]d.r 2 2 y _I__ 1 3 2( cm{z))+c y? = 1:2 ( CUE-3(3)) + 26' y = $2(cm(r)) + J2? mm = M02 comm) + WE = 1 w/1+\\/2C=1 x/2_C=1+x/T 20:2
Step by Step Solution
There are 3 Steps involved in it
Get step-by-step solutions from verified subject matter experts
