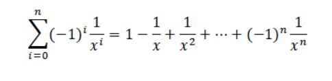
Question: N C PROGRAMMNG. Write a function to compute the following sum where x and n are the parameters of the function. 1 1 1+ +

N C PROGRAMMNG. Write a function to compute the following sum where x and n are the parameters of the function.
1 1 1+ + ... + (-1)". -1)1
Step by Step Solution
There are 3 Steps involved in it
Get step-by-step solutions from verified subject matter experts
