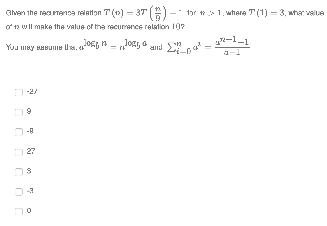
Question: n Given the recurrence relation T (n) = = 3T +1 for n > 1, where T (1) = 3, what value of n will

n Given the recurrence relation T (n) = = 3T +1 for n > 1, where T (1) = 3, what value of n will make the value of the recurrence relation 10? You may assume that a a logon an+1_1 ai mlogba and mo =n a-1 O -27 9 0 -9 O 27 3 -3 0 0
Step by Step Solution
There are 3 Steps involved in it
Get step-by-step solutions from verified subject matter experts
