Question: Name: Course and Section: Score: Date: Exercise 7 Copyright McGraw-Hill Education. All rights reserved. No reproduction or distribution without the prior written consent of

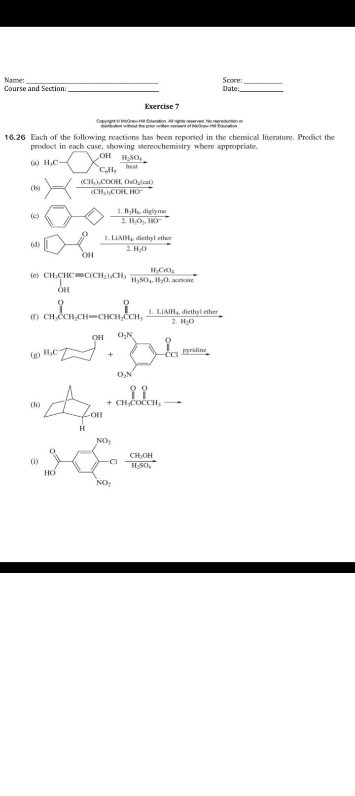
Name: Course and Section: Score: Date: Exercise 7 Copyright McGraw-Hill Education. All rights reserved. No reproduction or distribution without the prior written consent of McGraw-Hill Education. 16.26 Each of the following reactions has been reported in the chemical literature. Predict the product in each case, showing stereochemistry where appropriate. (a) HC- (b) OH C6H5 HSO4 heat (CH3)3COOH, OO(cat) (CH3)3COH, HO 1. BH6, diglyme 2. HO, HO 1. LiAlH4, diethyl ether 2. HO OH (e) CH,CHC=C(CH2),CH3 CHICHCH HCrO4 H2SO4, H2O, acetone (f) CHCCHCH=CHCH2CCH, 1. LiAlH4, diethyl ether 2. HO OH ON (g) HC- CCI pyridine 00 * (h) H OH NO + CH3COCCH (i) HO NO2 CHOH CI HSO4
Step by Step Solution
There are 3 Steps involved in it
Get step-by-step solutions from verified subject matter experts
