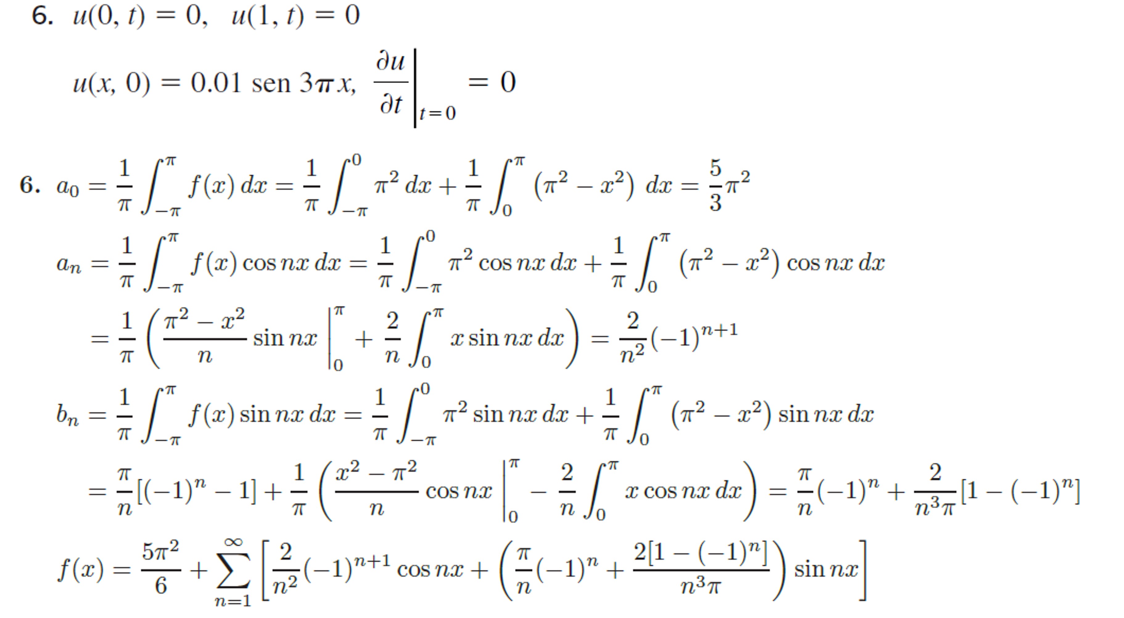
Question: Necesito ayuda con esto. Puedes escribirme un c digo Python en Jupyter Notebook para graficar una ecuaci n de onda, sujeto a las condiciones dadas?
Necesito ayuda con esto. Puedes escribirme un cdigo Python en Jupyter Notebook para graficar una ecuacin de onda, sujeto a las condiciones dadas? Aqu est el ejemplo y su solucin Haga que el cdigo sea comprensible y reproducible.
Step by Step Solution
There are 3 Steps involved in it
1 Expert Approved Answer
Step: 1 Unlock
Question Has Been Solved by an Expert!
Get step-by-step solutions from verified subject matter experts
Step: 2 Unlock
Step: 3 Unlock
