Question: need asap. Problem 2 - Post-dated check issued As of December 31, 2021, BASYANG Company's cash in bank account showed an unadjusted balance of P4,500,000.

need asap.

need asap. Problem 2 - Post-dated check issued As
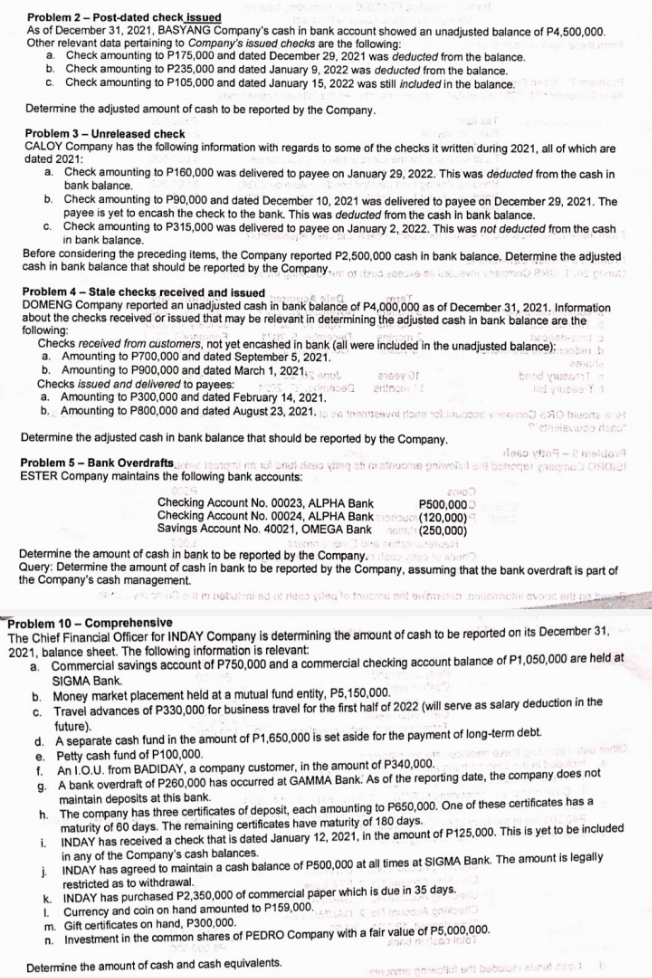
Problem 2 - Post-dated check issued As of December 31, 2021, BASYANG Company's cash in bank account showed an unadjusted balance of P4,500,000. Other relevant data pertaining to Company's issued checks are the following: a. Check amounting to P175,000 and dated December 29, 2021 was deducted from the balance. b. Check amounting to P235,000 and dated January 9, 2022 was deducted from the balance. c. Check amounting to P105,000 and dated January 15, 2022 was still included in the balance. Determine the adjusted amount of cash to be reported by the Company. Problem 3 - Unreleased check CALOY Company has the following information with regards to some of the checks it written during 2021, all of which are dated 2021: a. Check amounting to P160,000 was delivered to payee on January 29, 2022. This was deducted from the cash in bank balance. b. Check amounting to P90,000 and dated December 10, 2021 was delivered to payee on December 29, 2021. The payee is yet to encash the check to the bank. This was deducted from the cash in bank balance. c. Check amounting to P315,000 was delivered to payee on January 2, 2022. This was not deducted from the cash in bank balance. Before considering the preceding items, the Company reported P2,500,000 cash in bank balance. Determine the adjusted cash in bank balance that should be reported by the Company.... of mus caeuxs au L.sivevall vegmoo PAC 1 .08 (Mut Problem 4 - Stale checks received and issued DOMENG Company reported an unadjusted cash in bank balance of P4,000,000 as of December 31, 2021, Information about the checks received or issued that may be relevant in determining the adjusted cash in bank balance are the following: Checks received from customers, not yet encashed in bank (all were included in the unadjusted balance);be b a. Amounting to P700,000 and dated September 5, 2021. b. Amounting to P900,000 and dated March 1, 2021,s anul brod yweamTo Checks issued and delivered to payees: xmased erithere hid youzsa T : a. Amounting to P300,000 and dated February 14, 2021. b. Amounting to P800,000 and dated August 23, 2021. to 2a 'namienved rans "olJawboot vasomod GAO bluarte walk "ameiswope dera Determine the adjusted cash in bank balance that should be reported by the Company. Problem 5 - Bank Overdrafts.c en wot briel dees wing ah m atvos piwollol er! behogs magno) on0.2! ESTER Company maintains the following bank accounts: Checking Account No. 00023, ALPHA Bank P500,000 Checking Account No. 00024, ALPHA Bank monguo (120,000) Savings Account No. 40021, OMEGA Bank note." (250,000) Determine the amount of cash in bank to be reported by the Company. Query: Determine the amount of cash in bank to be reported by the Company, assuming that the bank overdraft is part of the Company's cash management. Problem 10 - Comprehensive The Chief Financial Officer for INDAY Company is determining the amount of cash to be reported on its December 31, 2021, balance sheet. The following information is relevant: a. Commercial savings account of P750,000 and a commercial checking account balance of P1,050,000 are held at SIGMA Bank. b. Money market placement held at a mutual fund entity, P5,150,000. C. Travel advances of P330,000 for business travel for the first half of 2022 (will serve as salary deduction in the future) d. A separate cash fund in the amount of P1,650,000 is set aside for the payment of long-term debt. e. Petty cash fund of P100,000. f. An I.O.U. from BADIDAY, a company customer, in the amount of P340,000. A bank overdraft of P260,000 has occurred at GAMMA Bank: As of the reporting date, the company does not g. maintain deposits at this bank. h. The company has three certificates of deposit, each amounting to P650,000. One of these certificates has a maturity of 60 days. The remaining certificates have maturity of 180 days. i. INDAY has received a check that is dated January 12, 2021, in the amount of P125,000. This is yet to be included in any of the Company's cash balances. INDAY has agreed to maintain a cash balance of P500,000 at all times at SIGMA Bank. The amount is legally restricted as to withdrawal. INDAY has purchased P2,350,000 of commercial paper which is due in 35 days. 1. Currency and coin on hand amounted to P159,000. IniconA grillbart m. Gift certificates on hand, P300,000. n. Investment in the common shares of PEDRO Company with a fair value of P5,000,000. Determine the amount of cash and cash equivalents

Step by Step Solution

There are 3 Steps involved in it

1 Expert Approved Answer
Step: 1 Unlock blur-text-image
Question Has Been Solved by an Expert!

Get step-by-step solutions from verified subject matter experts

Step: 2 Unlock
Step: 3 Unlock

Students Have Also Explored These Related Accounting Questions!