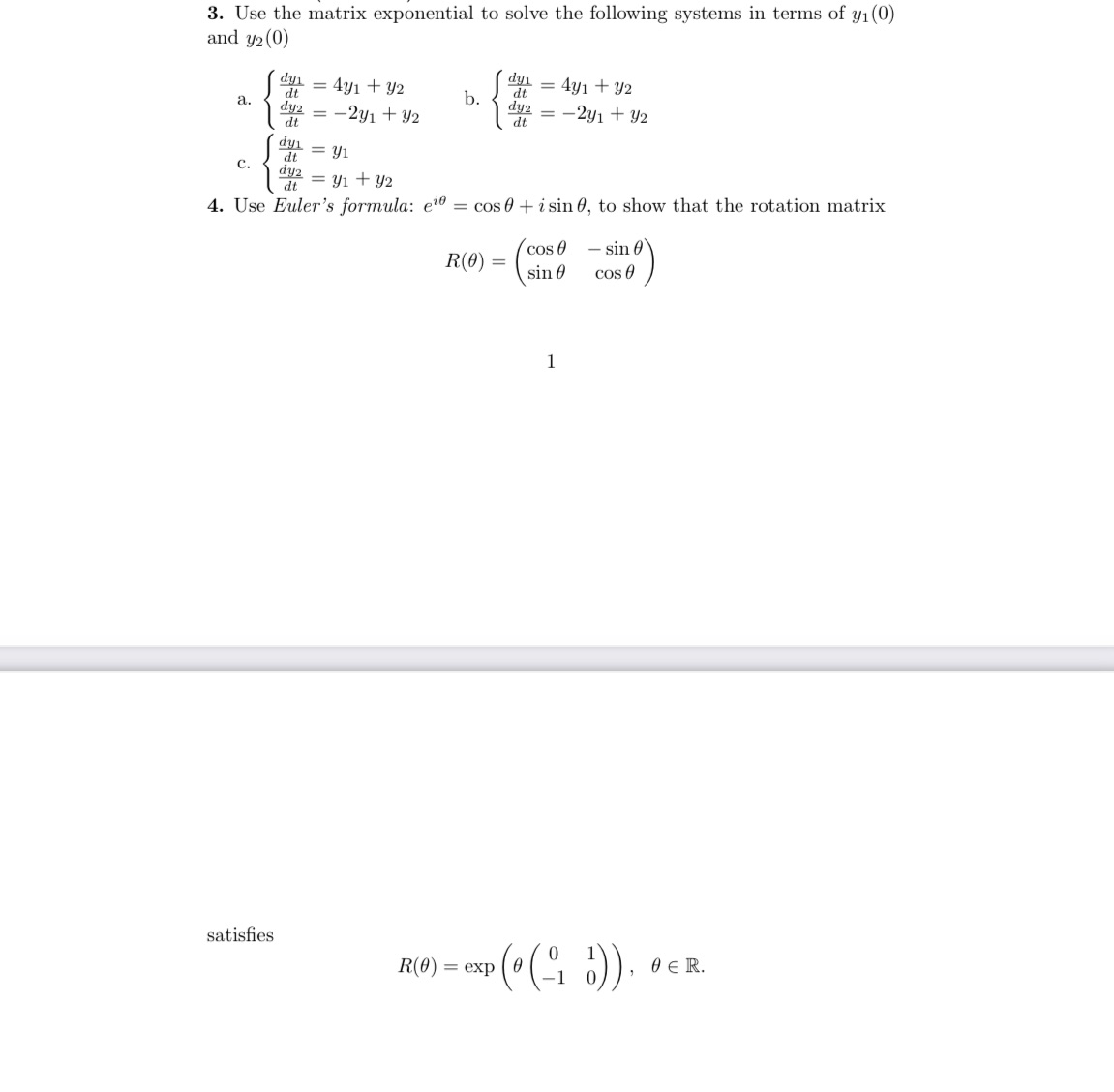
Question: Need help! 3. Use the matrix exponential to solve the following systems in terms of y1 (0) and y2 (0) dyl = 4y1 + 92
Need help!

Step by Step Solution
There are 3 Steps involved in it
1 Expert Approved Answer
Step: 1 Unlock
Question Has Been Solved by an Expert!
Get step-by-step solutions from verified subject matter experts
Step: 2 Unlock
Step: 3 Unlock
