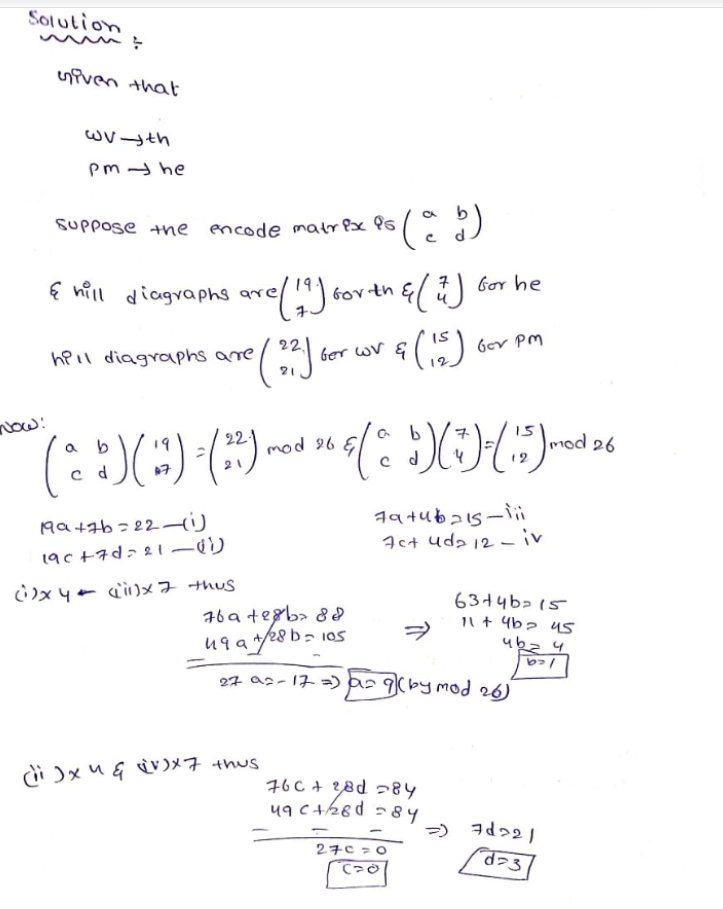
Question: Need help!! BELOW IS A IMAGE Its is cryptography hill cipher Answer. In that it says (27a = -17 mod 26) so I got (-17
Need help!! BELOW IS A IMAGE Its is cryptography hill cipher Answer. In that it says (27a = -17 mod 26) so I got (-17 mod 26 is 9) but after that where did that 27 go Im kinda confused. Also please explain that kind of calculation in little detail. I want to learn this kind of stuff. Please please please help!! It would be appreciated.
Thank you....


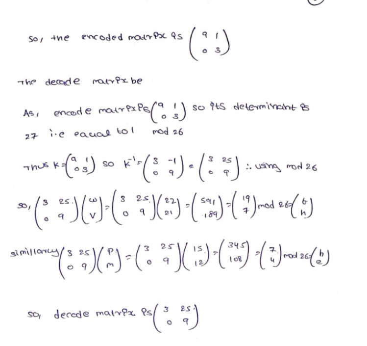
Sotutiom Suppose +ne encode matr x Qs hPIl diagraphs arre/22 12 1S mod 26 23 so e encoded rouPx (s I The deade abe 27 e eau to mo6 3 25 :. usin rod 26 19 34 108 3 2s So deccde matPx s 3 2s
Step by Step Solution
There are 3 Steps involved in it
Get step-by-step solutions from verified subject matter experts
