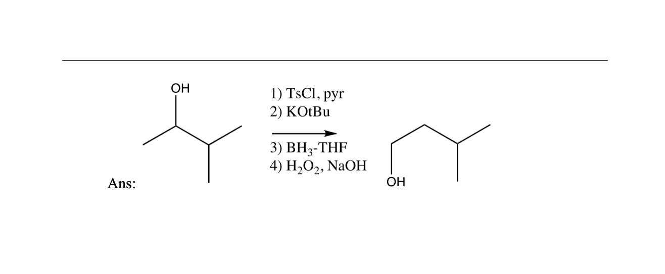
Question: Need help explaining why these reagents were used. 1) TsCl, pyr 2) KOtBu 3) BH3THF Ans: 4) H2O2,NaOH
Need help explaining why these reagents were used.
1) TsCl, pyr 2) KOtBu 3) BH3THF Ans: 4) H2O2,NaOH
Step by Step Solution
There are 3 Steps involved in it
Get step-by-step solutions from verified subject matter experts
