Question: Need help finishing a Python 3 program that has a class for complex numbers! I'm creating a program that utilizes complex numbers and includes methods
Need help finishing a Python 3 program that has a class for complex numbers! I'm creating a program that utilizes complex numbers and includes methods for adding, subtracting, multiplying, dividing, and exponents for these complex numbers.
My program has two files: a file with the complex number class and another file which will be the main file. The main file contains two functions that will utilize the mathematical methods (the ones I stated above) from the complex class
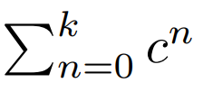
The first function is called "a(c,k)" where "c" is the complex number and k is an integer: 
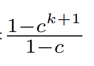
The second function is called "b(c,k)": 
I have created these functions but I'm a bit confused on how to use methods from the complex class for these two functions.
Here is my complex number class:
class Complex:
def __init__(self, x= 0, y= 0):
self.imag = imag
self.real = real
def __str__(self):
return str(self.real) + "+" + str(self.imag) + "i"
def getReal(self):
return self.real
def getImaginary(self):
return self.imag
def __add__(self, other):
x = self.real + other.real
y = self.imag + other.imag
return Complex(x, y)
def __sub__(self, other):
x = self.real - other.real
y = self.imag - other.imag
return Complex(x, y)
def __mul__(self, other):
x1 = self.real * other.real
x2 = self.imag * other.imag
x = x1 - x2
y1 = self.real * other.imag
y2 = self.imag * other.real
y = y1 - y2
return Complex(x, y)
def __truediv__(self, other):
x1 = self.real * other.real
x2 = self.imag * other.imag
denom = other.real ** 2 + other.imag **2
x = int((x1 + x2)/ denom)
y1 = self.real * other.imag * (-1)
y2 = self.imag * other.real
y = int((y1 + y2_) / denom)
return Complex(x, y)
def __pow__(self, other):
#need help
Here's the main file with the two functions:
from complex import complex
def a(c,k):
n = 0
for i in range(0, k):
expo += c ** n
return expo
def b(c,k):
function = ((1-c**(k+1))/(1-c)
return function
if __name__ == "__main__":
print(Welcome to Complex Numbers)
c = int(input('Enter Complex Number: '))
k = int(input('Enter Integer: '))
output = Complex(c, k)
func1 = a(output)
func2 = b(output)
print(func1)
print(func2)
I know my main file doesn't print the proper thing, but I don't know how to incorporate the two functions w/ the class
Step by Step Solution
There are 3 Steps involved in it
Get step-by-step solutions from verified subject matter experts
