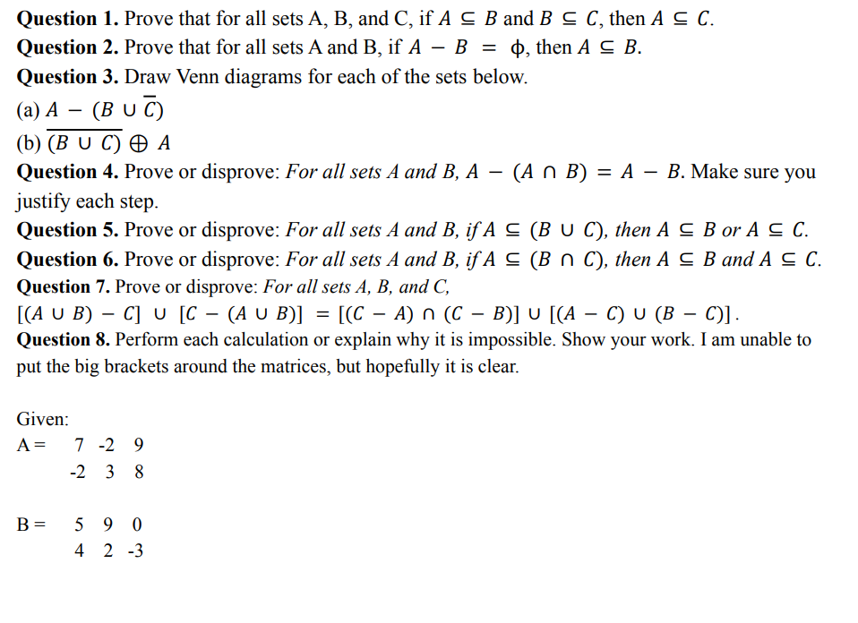
Question: Need help!! Question 1. Prove that for all sets A, B, and C, if A C B and B C C, then A C C.
Need help!!


Step by Step Solution
There are 3 Steps involved in it
1 Expert Approved Answer
Step: 1 Unlock
Question Has Been Solved by an Expert!
Get step-by-step solutions from verified subject matter experts
Step: 2 Unlock
Step: 3 Unlock
