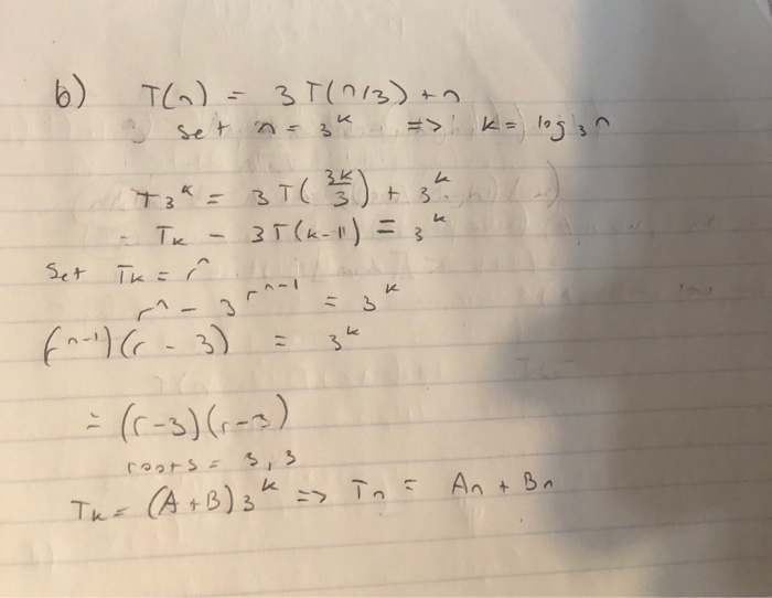
Question: Need help solving this recurrence relation for a 3 way merge sort. I think I am starting out right but cant get finish s lo
Need help solving this recurrence relation for a 3 way merge sort. I think I am starting out right but cant get finish
s lo k. Le
Step by Step Solution
There are 3 Steps involved in it
1 Expert Approved Answer
Step: 1 Unlock
Question Has Been Solved by an Expert!
Get step-by-step solutions from verified subject matter experts
Step: 2 Unlock
Step: 3 Unlock
