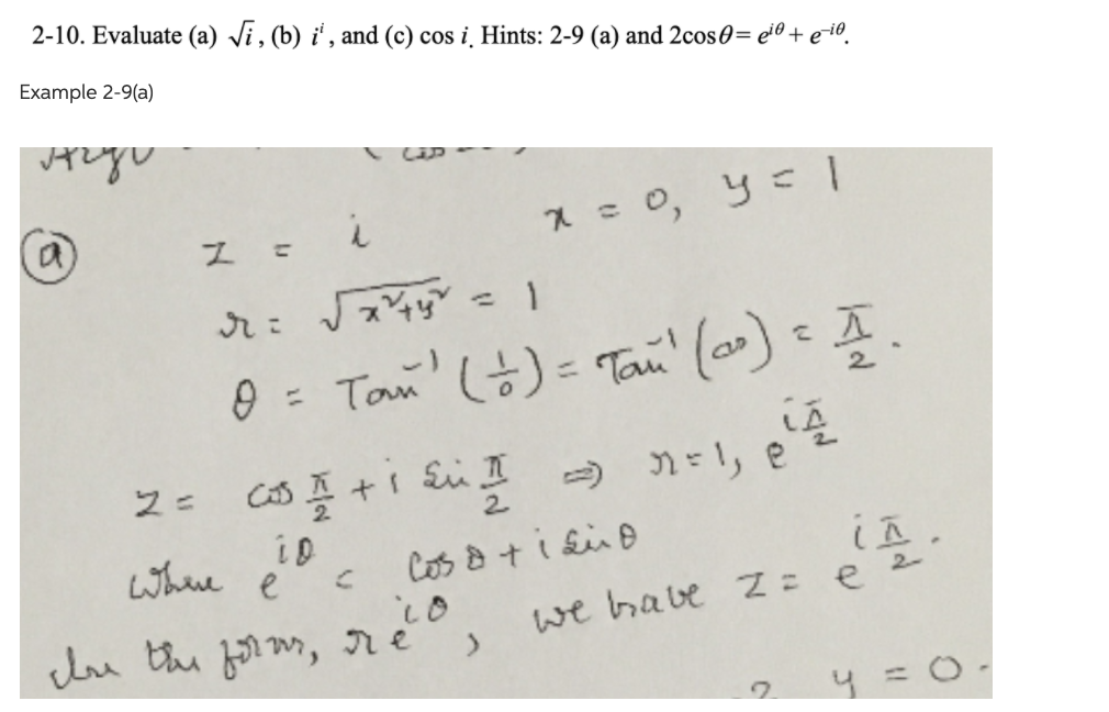
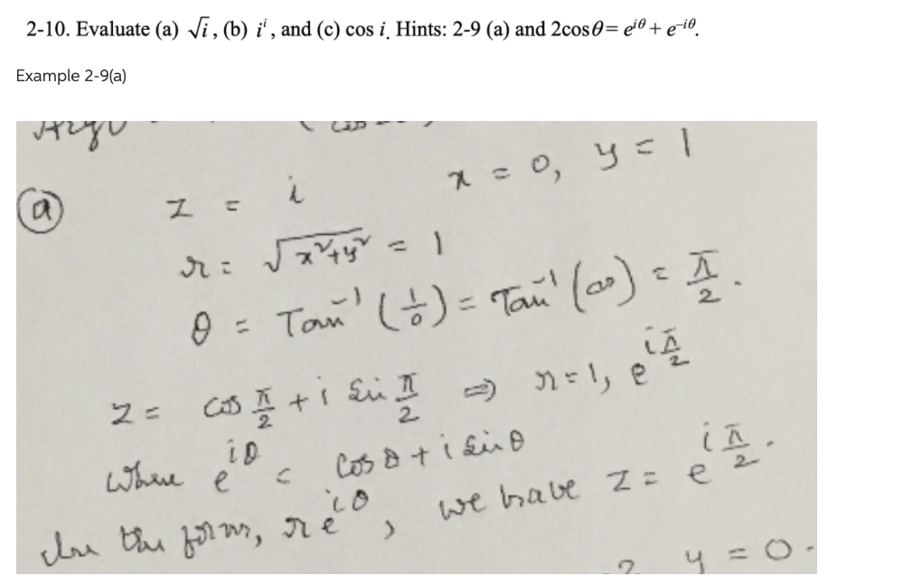
Question: need help with evaluating 2-10. Evaluate (a) Vi, (b) i', and (c) cos i. Hints: 2-9 (a) and 2cos0= e + e-ie. Example 2-9(a) UP

need help with evaluating

2-10. Evaluate (a) Vi, (b) i', and (c) cos i. Hints: 2-9 (a) and 2cos0= e + e-ie. Example 2-9(a) UP 7 =0, y = 1 n = V x x74 = 1 2 2 = CBA+ISun nel,e 2 where e c cosotiEnd In . In theform, me , we have Z = e 2 7 4 = 0
Step by Step Solution
There are 3 Steps involved in it
Get step-by-step solutions from verified subject matter experts
