Question: need help with Knapsack problem, will thumbs up best answer thanks! this is value and size for n = 4 items and bag size B
need help with Knapsack problem, will thumbs up best answer thanks!
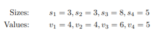
this is value and size for n = 4 items and bag size B = 8:

1. on paper, use exact dynamic program to solve this
2. also on paper, show that the simple greedy algorithm (ranking each v/s) is not optimal and why
Sizes: Values: $i = 3, S2 = 3,83 = 8, 84 = 5 V1 = 4, U2 = 4, V3 = 6,04 = 5
Step by Step Solution
There are 3 Steps involved in it
Get step-by-step solutions from verified subject matter experts
