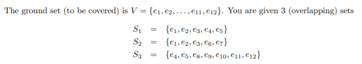
Question: need help with Minimum cost set cover question, will thumbs up correct answer. thanks! use cost: S1 = 6, S2 = 15, S3 = 7.
need help with Minimum cost set cover question, will thumbs up correct answer. thanks!
use cost: S1 = 6, S2 = 15, S3 = 7. Cover the ground set using minimum cost. A greedy algorithm would be as follows. In each iteration, for each unselected set, see how many uncovered elements can be covered using this set, and compute the ratio of cost to this number. Then rank these ratios and select the set with the smallest ratio. answer below questions:
1. on paper, run greedy algorithm on this problem
2. show that this is / isnt optimal. what's a better solution if it isnt?
The ground set (to be covered) is V = {C1, C2, ..., 11, C12}. You are given 3 (overlapping) sets Si = {C1, C2, C3, C4, es} S2 {(1, 62, 63, 66, 67} S3 {C4, C5, @g, 9, 210, 211, 212}Step by Step Solution
There are 3 Steps involved in it
Get step-by-step solutions from verified subject matter experts
