Question: Need help with practice problem (a) Suppose S is the surface given by y = 2(x+z) where (x,z) E {(x,z) 0 S x S

Need help with practice problem

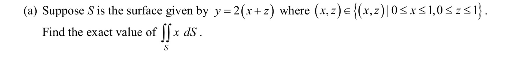
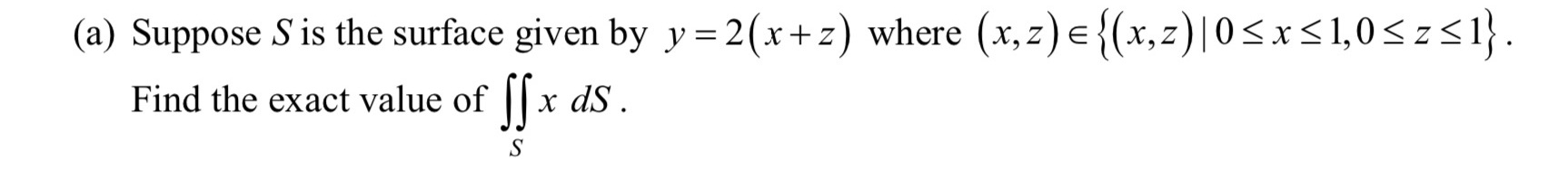
(a) Suppose S is the surface given by y = 2(x+z) where (x,z) E {(x,z) \\ 0 S x S 1,0 S 2 S 1}. Find the exact value of H x 615 . S
Step by Step Solution
There are 3 Steps involved in it
Get step-by-step solutions from verified subject matter experts
