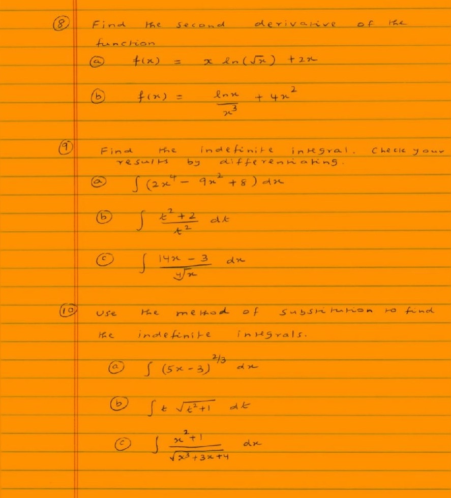
Question: Need help with this. All work including the algebra. 18 Find the second derivative of the function f ( x ) = x en (
Need help with this. All work including the algebra.

18 Find the second derivative of the function f ( x ) = x en ( JX ) + 2x b f(x) = 2 21 3 Find the indefinite integral . Check your by differentiating . ( 2 x - 9 x + 8 ) dre b 2 +2 at +2 142 - 3 Use the method of substitution to find He indefinite integrals . 2/3 ( 5 x - 3 ) V X3+ 3x +4
Step by Step Solution
There are 3 Steps involved in it
Get step-by-step solutions from verified subject matter experts
