Question: need help with this exercise please help and thank you. Exercise 17-4: Reactions of Alcohols Outcomes: After completing this activity, you should be able to


need help with this exercise please help and thank you.
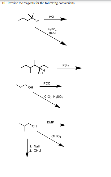
Exercise 17-4: Reactions of Alcohols Outcomes: After completing this activity, you should be able to 1. Provide products for the oxidation of alcohols or reagents for formation of aldehydes (ketones) or carboxylic acids. 2. Provide products and a mechanism for the conversion of alcohols to alkyl halides using PBror SOCI. 3. Provide products and a mechanism for the conversion of alcohols to alkyl halides using HX 4. Provide products and a mechanism for the dehydration of alcohols under acidie (H,0%) or basic (POCl/pyridine) conditions. 5. Explain the formation and reactions of alkoxides and phenoxides. Activity Complete the summary sheet on the reactions of alcohols. Conversion Description Examples Alcohols to Halides Alcohols to Alkenes Alcohols to Aldehydes, Ketones, or Carboxylic Acids Alcohols to Ethers Critical Thinking Questions 1. What nucleophile do you need to synthesize a halide from an alcohol via Sn2 reaction? 2. What is an oxidation reaction? 3. What are the possible products of oxidation reactions of alcohols? 4. Can you oxidize aldehyde? 5. How can you produce alkoxide from an alcohol? 6. What is a dehydration reaction? 7. What are common oxidizing reagents? 8. Which of the reactions proceed via elimination reaction mechanism? 9. Which of the reactions proceed via substitution reaction mechanism? 10. Provide the reagents for the following conversions. HCI OH H2PO4 HEAT PBS H OH PCC Croz, H2SO4 DMP KMnO 1. Nah 2. CHI
Step by Step Solution
There are 3 Steps involved in it
Get step-by-step solutions from verified subject matter experts
