Question: Need some help with this project Using Arrays only Java Programming Here is the states1.csv State Capitol Region US House Population Covid cases Covid deaths
Need some help with this project
Using Arrays only
Java Programming
Here is the states1.csv
| State | Capitol | Region | US House | Population | Covid cases | Covid deaths | Median House income | Violent Crime rate | |||
| Pennsylvania | Harrisburg | Middle Atla | 18 | 12801989 | 748564 | 18742 | 61744 | 306.4 | |||
| Michigan | Lansing | Midwest | 14 | 9986857 | 576573 | 14511 | 57144 | 437.4 | |||
| South Carolina | Columbia | South | 7 | 5148714 | 371180 | 5934 | 53199 | 511.3 |
Create a class named State that will store information about a State and provide methods to
get, and set the data, and compare the States by several fields.
a. Fields: name, capitol, region, population, the number of COVID-19 cases, and the
number of COVID-19 deaths, median household income, and violent crime rate.
b. Constructor
c. Get and set methods for each field
d. Method to print a State object
2. Create a class named Project1 that will:
a. Prompt user to enter the name of the CSV file, e.g., States1.csv, as input to theCreate a class named Project1 that will:
system.
b. Parse States1.csv and create an array of State objects containing the data in the file.
c. Offer the user the following options:
1) Print a States report
2) Sort by name (alphabetically using Bubble sort)
3) Sort by COVID-19 case fatality rate (CFR) (ascendingly using Selection
sort): CFR is the ratio of deaths over cases.
4) Sort by median household income (ascendingly using Insertion sort)
5) Find and print a State for a given name (using binary search if the data is
sorted by name; sequential search, if not)
6) Print Spearmans r correlation matrix in the following format
| Median House hold income | Violent Crime rate | |
| COVID 19 death rate | X | X |
| COVID 19 case rate | X | X |
(Case rate is the number of cases per 100,000 population. That is, case rate of a state is equal to its cases divided by its population and then times 100,000. Death rate is defined similarly. Violent Crime Rate from our dataset already is per 100,000. The Spearmans r correlation between two fields is defined next section. Xs are the actual values you computed.)
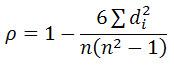
The spearman's r correlation is what is giving me the most trouble. I have no idea how to implement it in code

Let R1 and R2 be two ascending rankings of the same set of n elements. Then the Spearmans r between R1 and R2 is In the formula, di is the rank difference of element i in the two rankings R1 and R2
6d? = 1 (n2 1) 6d? = 1 (n2 1)
Step by Step Solution
There are 3 Steps involved in it
Get step-by-step solutions from verified subject matter experts
