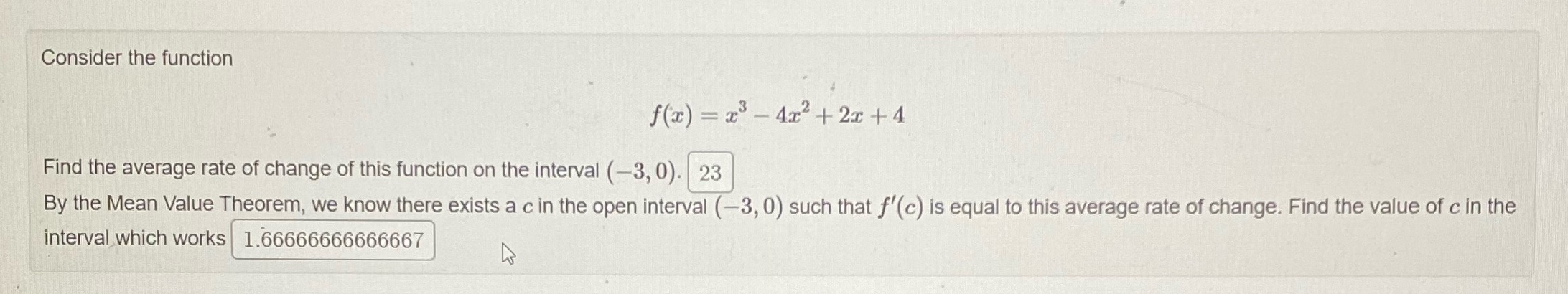
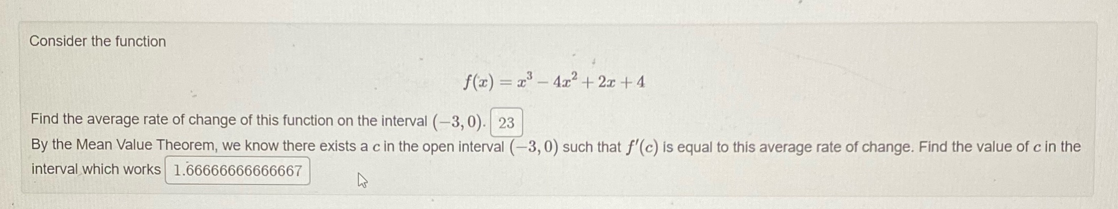
Question: Need the c value Consider the function f(x) = 23 -4x2+ 2x + 4 Find the average rate of change of this function on the

Need the c value

Consider the function f(x) = 23 -4x2+ 2x + 4 Find the average rate of change of this function on the interval (-3, 0). 23 By the Mean Value Theorem, we know there exists a c in the open interval (-3, 0) such that f'(c) is equal to this average rate of change. Find the value of c in the interval which works 1.66666666666667
Step by Step Solution
There are 3 Steps involved in it
Get step-by-step solutions from verified subject matter experts
