Question: NEED URGENT HELP (if any questions having missing information or can't be answered, pease just skip it but do the rest. Please don't comment incomplete
NEED URGENT HELP (if any questions having missing information or can't be answered, pease just skip it but do the rest. Please don't comment incomplete question because this is all I can find from the revision task)
Q1:The demand for widgets is Q = 3 / (p0.6). When p = 4, what is the price of elasticity of demandequal to?
Q2:Givenx= (a,3, b,4) is a 1 x 3 row vector, whereaandbare some constants, what is the length of this vector?
Q4:What is the derivative off(x) =[ (e^3x) / e^3x+ 1]?
Q5:Given thatais some nonzero constant, calculate the inverse of the following matrix:
(-a2a)
(-2a-a)
Q6:Ifaandbare two nonzero parameters, what is the value of Y that solves the following system?
4x + 5y =a
3x + 4y =b
Q7:What is the value ofy'(x) , ifIn(- x+ 2y) - In(y) - 0
Q8:What isquadratic approximation of the functionf(x) = 39x2- 105x + 21atx = 1?
Q9:What is the derivative off(x) =In(x2+ 1)-2x?
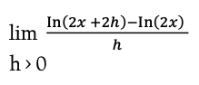
Q10:Find the limit


\f\f
Step by Step Solution
There are 3 Steps involved in it
Get step-by-step solutions from verified subject matter experts
