Question: Nene Section Date Purpose: . Understand and interpret amounts reported on the balance sheet. 12/31/2007 $ 1,981.3 1,053.8 125.3 421.5 $32,203.7 (11.219.0 20,984.7 2,301.3 1,156.4



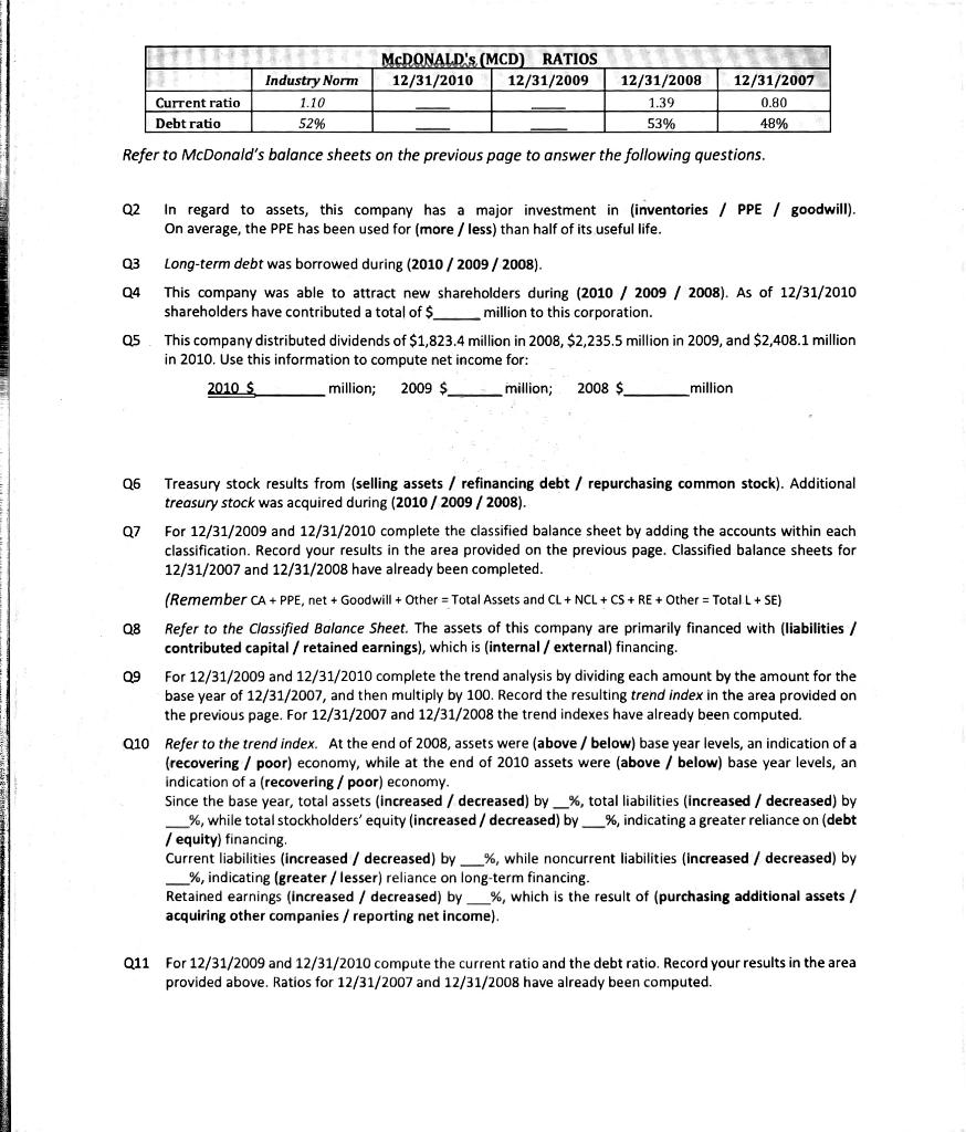
Nene Section Date Purpose: . Understand and interpret amounts reported on the balance sheet. 12/31/2007 $ 1,981.3 1,053.8 125.3 421.5 $32,203.7 (11.219.0 20,984.7 2,301.3 1,156.4 1,367.4 $29,391.7 MCDONALD's (MCD BALANCE SHEET ($ in millions ASSETS 12/31/2010 12/31/2009 12/31/2008 Cash and cash equivalents $2,3870 $1,7960 $2063.4 Accounts receivable 1,179.1 1,060.4 931.2 Inventories 109.9 106,2 111.5 Other current assets 692.5 453.7 411.5 Property, plant, and equipmt $34,482.4 $33,440.5 $31,152.4 Accumulated depreciation (12.421.8) (11.909.0) (10.897.9) PPE, net 22,060.6 21.531.5 20,254.5 Goodwill 2,586.1 2,425.2 2,237.4 Long-term investments 1,335.3 1,212.7 1,222.3 Other noncurrent assets 1,624.7 1,639.2 1,229.7 TOTAL ASSETS $31,975.2 $30,224.9 $28,461.5 LIABILITIES Accounts payable $ 943.9 $ 636.0 $ 620.4 Short-term debt 0.0 0.0 0.0 Other current liabilities 1,980.8 2,352.7 1,917.5 Long-term debt 11,497.0 10,560.3 10,186.0 Other noncurrent liabilities 2,919.3 2,642.0 2,355.0 STOCKHOLDERS' EQUITY Common stock, par 16.6 16.6 16.6 Additional paid-in capital 5,196.4 4,853.9 4,600.2 Retained earnings 33,811.7 31,270.8 28,953.9 Treasury stock (25,143.4) (22,854.8) (20,289.4) Other stockholders' equity 752.9 747.4 101.3 TOTALL & SE $31.975.2 $30.224.2 $28.461.5 $ 624.1 1,126.6 2.747.8 7,310.0 2,303.4 16.6 4,226.7 26,461.5 (16,762.4) 1,337.4 $29.391.7 97 MCDONALD's. Classified Balance Sheet / Trend Analysis ($ in millions) 12/31/2010 12/31/2009 12/31/2008 12/31/2007 $ Trend $ Trend Trend BASE YEAR Current assets 3,517.6 98 3,581.9 100 PPE, net 20,254.5 97 20,984.7 100 Goodwill 2,237.4 2,301.3 100 Other assets 2,452.0 97 2,523.8 100 TOTAL Assets 28,461.5 97 29,391.7 100 Current liabilities 2,537.9 56 4,498.5 100 NC Liabilities 12,541.0 130 9,613.4 100 TOTAL Liah 15,078.9 107 14,111.9 100 Contributed capital 4,616.8 109 4,243.3 100 Retained earnings 28,953.9 109 26,461.5 100 Other SE (20,188.1) 131 (15,425,0) 100 TOTAL SE 13,382.6 88 15,279.8100 MCDONALD's (MCD RATIOS 12/31/2010 12/31/2009 Current ratio Debt ratio Industry Norm 1.10 52% 12/31/2008 1.39 53% 12/31/2007 0.80 48% Refer to McDonald's balance sheets on the previous page to answer the following questions. Q2 In regard to assets, this company has a major investment in (inventories / PPE / goodwill). On average, the PPE has been used for (more / less than half of its useful life. 03 04 Long-term debt was borrowed during (2010 / 2009 / 2008). This company was able to attract new shareholders during (2010 / 2009 / 2008). As of 12/31/2010 shareholders have contributed a total of $ million to this corporation. This company distributed dividends of $1,823.4 million in 2008, $2,235.5 million in 2009, and $2,408.1 million in 2010. Use this information to compute net income for: 2010 $ 2009 $ million; 2008 $ million 05 million; Q6 Treasury stock results from (selling assets / refinancing debt / repurchasing common stock). Additional treasury stock was acquired during (2010/2009 / 2008). Q7 For 12/31/2009 and 12/31/2010 complete the classified balance sheet by adding the accounts within each classification. Record your results in the area provided on the previous page. Classified balance sheets for 12/31/2007 and 12/31/2008 have already been completed. (Remember CA + PPE, net + Goodwill + Other = Total Assets and CL + NCL+CS + RE + Other = Total L + SE) Q8 Refer to the Classified Balance Sheet. The assets of this company are primarily financed with (liabilities/ contributed capital / retained earnings), which is (internal/external) financing. 09 For 12/31/2009 and 12/31/2010 complete the trend analysis by dividing each amount by the amount for the base year of 12/31/2007, and then multiply by 100. Record the resulting trend index in the area provided on the previous page. For 12/31/2007 and 12/31/2008 the trend indexes have already been computed. 010 Refer to the trend index. At the end of 2008, assets were (above / below) base year levels, an indication of a (recovering / poor) economy, while at the end of 2010 assets were (above / below) base year levels, an indication of a (recovering / poor) economy. Since the base year, total assets (increased / decreased) by _%, total liabilities (increased / decreased) by _%, while total stockholders' equity (increased / decreased) by __%, indicating a greater reliance on (debt equity) financing Current liabilities increased / decreased) by _%, while noncurrent liabilities (increased / decreased) by _%, indicating (greater / lesser) reliance on long-term financing. Retained earnings (increased / decreased) by __%, which is the result of (purchasing additional assets/ acquiring other companies / reporting net income). Q11 For 12/31/2009 and 12/31/2010 compute the current ratio and the debt ratio. Record your results in the area provided above. Ratios for 12/31/2007 and 12/31/2008 have already been computed. Q12 Review the financial information of this company and comment on signs of financial strength. a 1 1 1 b. warning signs or signs of financial weakness. 1 Q13 if you had $10,000, would you consider investing in this company? (Yes/Nol_Why or why not? 1 1
Step by Step Solution
There are 3 Steps involved in it
Get step-by-step solutions from verified subject matter experts
