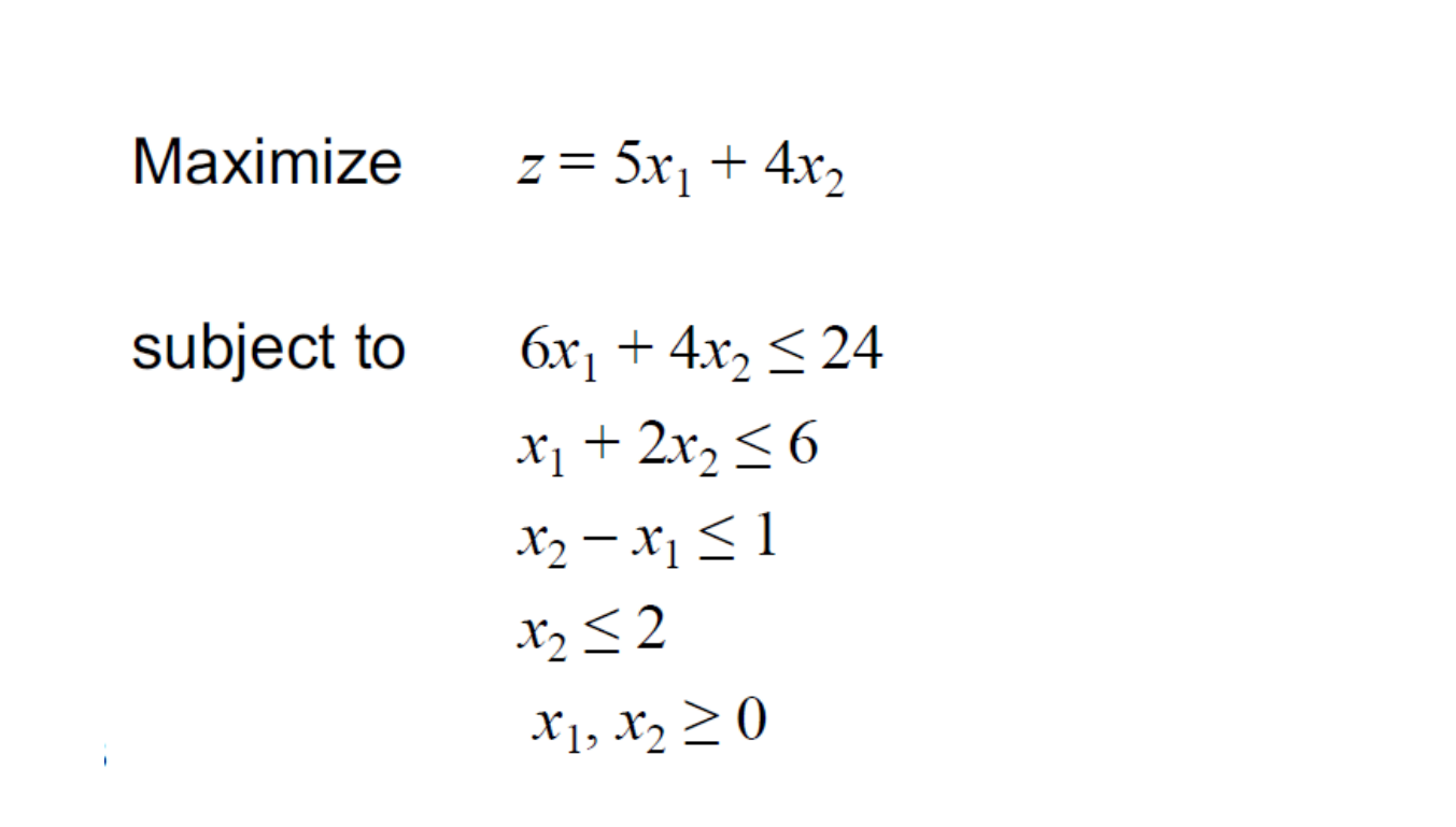
Question: NOTE : SOLVE USING SIMPLEX METHOD ON EXCEL SHEET Maximize z= 5x1 + 4x2 = subject to 6x + 4x2 0

NOTE : SOLVE USING SIMPLEX METHOD ON EXCEL SHEET
Maximize z= 5x1 + 4x2 = subject to 6x + 4x2 0Step by Step Solution
There are 3 Steps involved in it
1 Expert Approved Answer
Step: 1 Unlock
Question Has Been Solved by an Expert!
Get step-by-step solutions from verified subject matter experts
Step: 2 Unlock
Step: 3 Unlock
