Question: Notes: Round unit cost to 2 decimal places, then apply to quanity sold when determining total cost of goods sold. Use this chart to keep




















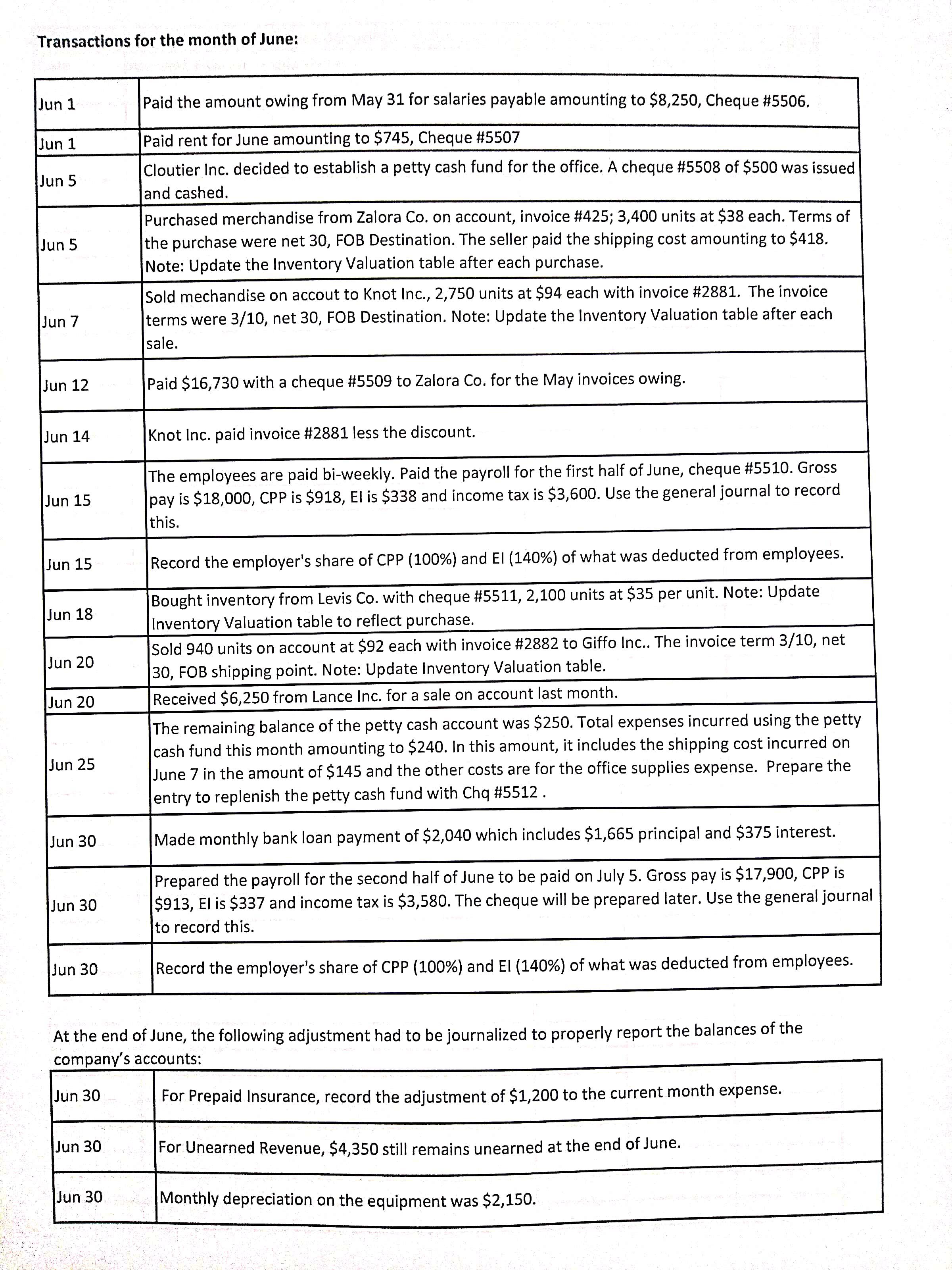
Notes: Round unit cost to 2 decimal places, then apply to quanity sold when determining total cost of goods sold. Use this chart to keep track of inventory values The inventory figure includes 950 units purchased at $40.00 each. \begin{tabular}{|l|l|l|l|l|} \hline \multicolumn{2}{|c|}{ General Journal } & \multicolumn{1}{|c|}{ Page 5 } \\ \hline Date & Account Title and Explanation & & DR & CR \\ \hline & & & & \\ \hline & & & & \\ \hline & & & & \\ \hline & & & & \\ \hline & & & & \\ \hline & & & & \\ \hline & & & & \\ \hline & & & & \\ \hline & & & & \\ \hline & & & & \\ \hline \end{tabular} Notes: Round unit cost to 2 decimal places, then apply to quanity sold when determining total cost of goods sold. Use this chart to keep track of inventory values The inventory figure includes 950 units purchased at $40.00 each. Cloutier Inc., set up as a privately held corporation, operating as a ready to wear garments retailer, of which 100% of the Common Shares are owned by Bryan Cloutier. You were hired to account for transactions for the month of June 2023, complete month end processing, prepare the financial statements and perform a financial ratio analysis as of the end of that month. They use perpetual inventory system and use the weigted average method to determine value for the inventory. Its balance sheet as at May 31, 2023, is presented below. The bank loan has an annual interest rate of 9% and has monthly principal payment of $1,665. 1) prepare a multistep income statement. 2) Prepare a calculation of retained earnings \begin{tabular}{|c|l|l|l|l|l|c|} \hline Account: & \multicolumn{2}{l}{ Salaries Expense } & \multicolumn{2}{c|}{ GL No: } & \multicolumn{2}{c|}{540} \\ \hline Date & Description & PR & DR & CR & \multicolumn{2}{c|}{ Balance (DR or CR) } \\ \hline & & & & & & \\ \hline & & & & & & \\ \hline & & & & & & \\ \hline \end{tabular} \begin{tabular}{|c|l|c|c|c|c|c|} \hline Account: & \multicolumn{2}{l|}{ Bank Charges Expense } & \multicolumn{2}{c|}{ GL No: } & 545 \\ \hline Date & Description & PR & DR & CR & \multicolumn{3}{|c|}{ Balance (DR or CR) } \\ \hline & & & & & & \\ \hline & & & & & & \\ \hline \end{tabular} \begin{tabular}{|c|l|c|c|c|c|c|} \hline Account: & \multicolumn{2}{l|}{ Entertainment Expense } & \multicolumn{2}{c|}{ GL No: } & 555 \\ \hline Date & Description & PR & DR & CR & \multicolumn{3}{|c|}{ Balance (DR or CR) } \\ \hline & & & & & & \\ \hline & & & & & & \\ \hline \end{tabular} \begin{tabular}{|c|l|c|c|c|c|c|} \hline Account: & \multicolumn{2}{l|}{ Shipping Expense } & \multicolumn{2}{l|}{ GL No: } & 560 \\ \hline Date & Description & PR & DR & CR & \multicolumn{3}{|c|}{ Balance (DR or CR) } \\ \hline & & & & & & \\ \hline & & & & & & \\ \hline \end{tabular} \begin{tabular}{|c|l|c|c|c|c|c|} \hline Account: & \multicolumn{2}{l|}{ Cash Over and Short } & \multicolumn{2}{c|}{ GL No: } & 565 \\ \hline Date & Description & PR & DR & CR & \multicolumn{3}{|c|}{ Balance (DR or CR) } \\ \hline & & & & & & \\ \hline & & & & & & \\ \hline \end{tabular} General Ledger Accounts \begin{tabular}{|c|l|l|l|l|l|l|} \hline Account: & \multicolumn{2}{l}{} & \multicolumn{2}{|l|}{ GL No: } & 120 \\ \hline Date & Description & PR & DR & CR & \multicolumn{2}{c|}{ Balance (DR or CR) } \\ \hline & Opening Balance & & & & 38,000.00 & DR \\ \hline & & & & & & \\ \hline & & & & & & \\ \hline & & & & & & \\ \hline & & & & & & \\ \hline & & & & & & \\ \hline \end{tabular} \begin{tabular}{|c|l|c|c|c|c|c|} \hline Account: & \multicolumn{2}{l|}{ Prepaid Insurance } & GL No: & 125 \\ \hline Date & Description & PR & DR & CR & Balance (DR or CR) \\ \hline & Opening Balance & & & & 7,200.00 & DR \\ \hline & & & & & & \\ \hline & & & & & & \\ \hline \end{tabular} Required: Using the balances of the General Ledger accounts as of June 30, complete the financial statements. commerce. It is shown below. Additional Information: a) The $21,500 is already recorded in the ledger last month. b) Cheque number of the company has (4) digits. Required: Prepare the June bank reconciliation for Cloutier Inc. using the bank statement and general ledger provided. Compare the information in the general ledger to the bank statement. Once reconciled, record the relevant journal entries in the general journal and post the entries in the general ledger to bring the company's record up to date. \begin{tabular}{|c|l|l|l|l|l|c|} \hline Account: & \multicolumn{2}{l|}{ Salaries Payable } & GL No: & 235 \\ \hline Date & Description & PR & DR & CR & \multicolumn{2}{|c|}{ Balance (DR or CR) } \\ \hline & Opening Balance & & & & 8,250.00 & CR \\ \hline & & & & & & \\ \hline & & & & & & \\ \hline & & & & & & \\ \hline \end{tabular} \begin{tabular}{|c|l|l|l|l|l|l|} \hline Account: & Unearned Revenue & \multicolumn{2}{|l|}{ GL No: } & 240 \\ \hline Date & Description & PR & DR & CR & \multicolumn{2}{|c|}{ Balance (DR or CR) } \\ \hline & Opening Balance & & & & 14,500.00 & CR \\ \hline & & & & & & \\ \hline & & & & & & \\ \hline \end{tabular} \begin{tabular}{|c|l|c|c|c|c|c|} \hline Account: & Bank Loan & \multicolumn{2}{|l|}{ GL No: } & 245 \\ \hline Date & Description & PR & DR & CR & \multicolumn{2}{|c|}{ Balance (DR or CR) } \\ \hline & Opening Balance & & & & 49,950.00 & CR \\ \hline & & & & & & \\ \hline \end{tabular} \begin{tabular}{|c|l|l|l|l|l|l|} \hline Account: & \multicolumn{2}{l|}{ Common Shares } & GL No: & 300 \\ \hline Date & Description & PR & DR & CR & \multicolumn{2}{|c|}{ Balance (DR or CR) } \\ \hline & Opening Balance & & & & 81,600.00 & CR \\ \hline & & & & & & \\ \hline & & & & & & \\ \hline & & & & & & \\ \hline \end{tabular} \begin{tabular}{|c|l|c|c|c|c|c|} \hline Account: & \multicolumn{2}{l|}{ Retained Earnings } & GL No: & 305 \\ \hline Date & Description & PR & DR & CR & \multicolumn{2}{|c|}{ Balance (DR or CR) } \\ \hline & Opening Balance & & & & 43,150.00 & CR \\ \hline & & & & & & \\ \hline \end{tabular} \begin{tabular}{|c|l|c|c|c|c|c|} \hline Account: & \multicolumn{2}{|l|}{ Sales Revenue } & \multicolumn{2}{|c|}{ GL No: } & 400 \\ \hline Date & Description & PR & DR & CR & \multicolumn{3}{|c|}{ Balance (DR or CR) } \\ \hline & & & & & & \\ \hline & & & & & & \\ \hline & & & & & & \\ \hline \end{tabular} \begin{tabular}{|c|l|c|c|c|c|c|} \hline Account: & \multicolumn{2}{l|}{ Sales Discounts } & GL No: & 405 \\ \hline Date & Description & PR & DR & CR & \multicolumn{3}{|c|}{ Balance (DR or CR) } \\ \hline & & & & & & \\ \hline & & & & & & \\ \hline \end{tabular} \begin{tabular}{|c|l|c|c|c|c|c|} \hline Account: & \multicolumn{2}{l|}{ Sales Returns and Allowances } & \multicolumn{2}{|c|}{ GL No: } & 410 \\ \hline Date & Description & PR & DR & CR & \multicolumn{2}{|c|}{ Balance (DR or CR) } \\ \hline & & & & & & \\ \hline & & & & & & \\ \hline \end{tabular} Required: a) Prepare the journal entries for the month of June. You will also need to update the inventory in the table for each purchase and sale, return or allowance, found under the Inventory Valuation tab of this workbook. b)Enter the opening balances of the accounts from the opening balance sheet and post the above journal entries to the account. c) Complete the bank reconciliation report. d) Record the journal entries from the bank reconciliation and post amounts to general ledger accounts. e) Complete the 10-column worksheet. f) Post the adjusting entries to the accounts. g) Journalize and post the adjustments. h) Prepare the multistep income statement, calculation of retained earnings, classified balance sheet found under the financial statements tab of this workbook. i) Answer the analysis questions from ' a ' to ' i ' found under the financial statements tab of this workbook. 1) prepare a classified balance sheet. Assume that $19,980 of the bank loan will be paid off in the 12 months. kp2et on the information above, answer the following questions. a) Calculate the current ratio as at June 30, 2023 . b) Does Cloutier Inc. have a good or bad current ratio? Explain why or why not. c) Calculate the inventory days on hand ratio as at June 30, 2023. (Since this is for the month, do not multiply by 365 in the formula. Instead multiply by 31 days.) d) Last month, the inventory days on hand ratio was 12 days. Has the ratio improved? Why or why not? e) Calculate the debt to equity ratio as at June 30, 2023. f) Calculate the gross profit margin as at June 30, 2023. g) Last month, the gross profit margin percentage was 63%. What could have caused this decrease in gross margin percentage? h) Calculate the inventory turnover as at June 30, 2023. i) If inventory turnover last month was 2.58 is the company holding on to inventory for a longer or shorter period of tim Transactions for the month of June: At the end of June, the following adjustment had to be journalized to properly report the balances of the company's accounts: \begin{tabular}{|l|l|} \hline Jun 30 & For Prepaid Insurance, record the adjustment of $1,200 to the current month expense. \\ \hline Jun 30 & For Unearned Revenue, $4,350 still remains unearned at the end of June. \\ \hline Jun 30 & Monthly depreciation on the equipment was $2,150. \\ \hline \end{tabular} General Ledger Accounts \begin{tabular}{|c|l|l|l|l|l|l|l|} \hline Account: & \multicolumn{2}{l}{ Merchandise Inventory } & \multicolumn{2}{|l|}{ GL No: } & 120 \\ \hline Date & Description & PR & DR & CR & \multicolumn{3}{|c|}{ Balance (DR or CR) } \\ \hline & Opening Balance & & & & 38,000.00 & DR \\ \hline & & & & & & \\ \hline & & & & & & \\ \hline & & & & & & \\ \hline & & & & & & \\ \hline & & & & & & \\ \hline \end{tabular} \begin{tabular}{|c|l|c|c|c|c|c|} \hline Account: & \multicolumn{2}{l}{} & \multicolumn{2}{|c|}{ GL No: } & 125 \\ \hline Date & Description & PR & DR & CR & Balance (DR or CR) \\ \hline & Opening Balance & & & & 7,200.00 & DR \\ \hline & & & & & & \\ \hline & & & & & & \\ \hline \end{tabular} \begin{tabular}{|c|l|c|c|c|c|c|} \hline Account: & \multicolumn{2}{|c|}{ Equipment } & GL No: & 140 \\ \hline Date & Description & PR & DR & CR & \multicolumn{2}{|c|}{ Balance (DR or CR) } \\ \hline & Opening Balance & & & & 166,000.00 & DR \\ \hline & & & & & & \\ \hline & & & & & & \\ \hline \end{tabular} \begin{tabular}{|c|l|c|c|c|c|c|} \hline Account: & \multicolumn{2}{l|}{ Accumulated Depreciation } & GL No: & 145 \\ \hline Date & Description & PR & DR & CR & \multicolumn{2}{|c|}{ Balance (DR or CR) } \\ \hline & Opening Balance & & & & 81,000.00 & CR \\ \hline & & & & & & \\ \hline \end{tabular} \begin{tabular}{|c|l|l|l|l|l|l|} \hline Account: & \multicolumn{2}{l|}{ Accounts Payable } & \multicolumn{2}{|c|}{ GL No: } & 200 \\ \hline Date & Description & PR & DR & CR & \multicolumn{2}{|c|}{ Balance (DR or CR) } \\ \hline & Opening Balance & & & & 30,790.00 & CR \\ \hline & & & & & & \\ \hline & & & & & & \\ \hline & & & & & & \\ \hline \end{tabular} \begin{tabular}{|c|l|c|c|c|c|c|} \hline Account: & \multicolumn{2}{l|}{ Interest Payable } & \multicolumn{2}{|c|}{ GL No: } & 205 \\ \hline Date & Description & PR & DR & CR & \multicolumn{2}{|c|}{ Balance (DR or CR) } \\ \hline & Opening Balance & & & & 0.00 & CR \\ \hline & & & & & & \\ \hline & & & & & & \\ \hline \end{tabular} \begin{tabular}{|c|l|c|c|c|c|c|} \hline Account: & \multicolumn{2}{l}{ CPP Payable } & \multicolumn{2}{|c|}{ GL No: } & 220 \\ \hline Date & Description & PR & DR & CR & \multicolumn{2}{|c|}{ Balance (DR or CR) } \\ \hline & Opening Balance & & & & 0.00 & CR \\ \hline & & & & & & \\ \hline & & & & & & \\ \hline & & & & & & \\ \hline & & & & & & \\ \hline \end{tabular} Notes: Round unit cost to 2 decimal places, then apply to quanity sold when determining total cost of goods sold. Use this chart to keep track of inventory values The inventory figure includes 950 units purchased at $40.00 each. \begin{tabular}{|l|l|l|l|l|} \hline \multicolumn{2}{|c|}{ General Journal } & \multicolumn{1}{|c|}{ Page 5 } \\ \hline Date & Account Title and Explanation & & DR & CR \\ \hline & & & & \\ \hline & & & & \\ \hline & & & & \\ \hline & & & & \\ \hline & & & & \\ \hline & & & & \\ \hline & & & & \\ \hline & & & & \\ \hline & & & & \\ \hline & & & & \\ \hline \end{tabular} Notes: Round unit cost to 2 decimal places, then apply to quanity sold when determining total cost of goods sold. Use this chart to keep track of inventory values The inventory figure includes 950 units purchased at $40.00 each. Cloutier Inc., set up as a privately held corporation, operating as a ready to wear garments retailer, of which 100% of the Common Shares are owned by Bryan Cloutier. You were hired to account for transactions for the month of June 2023, complete month end processing, prepare the financial statements and perform a financial ratio analysis as of the end of that month. They use perpetual inventory system and use the weigted average method to determine value for the inventory. Its balance sheet as at May 31, 2023, is presented below. The bank loan has an annual interest rate of 9% and has monthly principal payment of $1,665. 1) prepare a multistep income statement. 2) Prepare a calculation of retained earnings \begin{tabular}{|c|l|l|l|l|l|c|} \hline Account: & \multicolumn{2}{l}{ Salaries Expense } & \multicolumn{2}{c|}{ GL No: } & \multicolumn{2}{c|}{540} \\ \hline Date & Description & PR & DR & CR & \multicolumn{2}{c|}{ Balance (DR or CR) } \\ \hline & & & & & & \\ \hline & & & & & & \\ \hline & & & & & & \\ \hline \end{tabular} \begin{tabular}{|c|l|c|c|c|c|c|} \hline Account: & \multicolumn{2}{l|}{ Bank Charges Expense } & \multicolumn{2}{c|}{ GL No: } & 545 \\ \hline Date & Description & PR & DR & CR & \multicolumn{3}{|c|}{ Balance (DR or CR) } \\ \hline & & & & & & \\ \hline & & & & & & \\ \hline \end{tabular} \begin{tabular}{|c|l|c|c|c|c|c|} \hline Account: & \multicolumn{2}{l|}{ Entertainment Expense } & \multicolumn{2}{c|}{ GL No: } & 555 \\ \hline Date & Description & PR & DR & CR & \multicolumn{3}{|c|}{ Balance (DR or CR) } \\ \hline & & & & & & \\ \hline & & & & & & \\ \hline \end{tabular} \begin{tabular}{|c|l|c|c|c|c|c|} \hline Account: & \multicolumn{2}{l|}{ Shipping Expense } & \multicolumn{2}{l|}{ GL No: } & 560 \\ \hline Date & Description & PR & DR & CR & \multicolumn{3}{|c|}{ Balance (DR or CR) } \\ \hline & & & & & & \\ \hline & & & & & & \\ \hline \end{tabular} \begin{tabular}{|c|l|c|c|c|c|c|} \hline Account: & \multicolumn{2}{l|}{ Cash Over and Short } & \multicolumn{2}{c|}{ GL No: } & 565 \\ \hline Date & Description & PR & DR & CR & \multicolumn{3}{|c|}{ Balance (DR or CR) } \\ \hline & & & & & & \\ \hline & & & & & & \\ \hline \end{tabular} General Ledger Accounts \begin{tabular}{|c|l|l|l|l|l|l|} \hline Account: & \multicolumn{2}{l}{} & \multicolumn{2}{|l|}{ GL No: } & 120 \\ \hline Date & Description & PR & DR & CR & \multicolumn{2}{c|}{ Balance (DR or CR) } \\ \hline & Opening Balance & & & & 38,000.00 & DR \\ \hline & & & & & & \\ \hline & & & & & & \\ \hline & & & & & & \\ \hline & & & & & & \\ \hline & & & & & & \\ \hline \end{tabular} \begin{tabular}{|c|l|c|c|c|c|c|} \hline Account: & \multicolumn{2}{l|}{ Prepaid Insurance } & GL No: & 125 \\ \hline Date & Description & PR & DR & CR & Balance (DR or CR) \\ \hline & Opening Balance & & & & 7,200.00 & DR \\ \hline & & & & & & \\ \hline & & & & & & \\ \hline \end{tabular} Required: Using the balances of the General Ledger accounts as of June 30, complete the financial statements. commerce. It is shown below. Additional Information: a) The $21,500 is already recorded in the ledger last month. b) Cheque number of the company has (4) digits. Required: Prepare the June bank reconciliation for Cloutier Inc. using the bank statement and general ledger provided. Compare the information in the general ledger to the bank statement. Once reconciled, record the relevant journal entries in the general journal and post the entries in the general ledger to bring the company's record up to date. \begin{tabular}{|c|l|l|l|l|l|c|} \hline Account: & \multicolumn{2}{l|}{ Salaries Payable } & GL No: & 235 \\ \hline Date & Description & PR & DR & CR & \multicolumn{2}{|c|}{ Balance (DR or CR) } \\ \hline & Opening Balance & & & & 8,250.00 & CR \\ \hline & & & & & & \\ \hline & & & & & & \\ \hline & & & & & & \\ \hline \end{tabular} \begin{tabular}{|c|l|l|l|l|l|l|} \hline Account: & Unearned Revenue & \multicolumn{2}{|l|}{ GL No: } & 240 \\ \hline Date & Description & PR & DR & CR & \multicolumn{2}{|c|}{ Balance (DR or CR) } \\ \hline & Opening Balance & & & & 14,500.00 & CR \\ \hline & & & & & & \\ \hline & & & & & & \\ \hline \end{tabular} \begin{tabular}{|c|l|c|c|c|c|c|} \hline Account: & Bank Loan & \multicolumn{2}{|l|}{ GL No: } & 245 \\ \hline Date & Description & PR & DR & CR & \multicolumn{2}{|c|}{ Balance (DR or CR) } \\ \hline & Opening Balance & & & & 49,950.00 & CR \\ \hline & & & & & & \\ \hline \end{tabular} \begin{tabular}{|c|l|l|l|l|l|l|} \hline Account: & \multicolumn{2}{l|}{ Common Shares } & GL No: & 300 \\ \hline Date & Description & PR & DR & CR & \multicolumn{2}{|c|}{ Balance (DR or CR) } \\ \hline & Opening Balance & & & & 81,600.00 & CR \\ \hline & & & & & & \\ \hline & & & & & & \\ \hline & & & & & & \\ \hline \end{tabular} \begin{tabular}{|c|l|c|c|c|c|c|} \hline Account: & \multicolumn{2}{l|}{ Retained Earnings } & GL No: & 305 \\ \hline Date & Description & PR & DR & CR & \multicolumn{2}{|c|}{ Balance (DR or CR) } \\ \hline & Opening Balance & & & & 43,150.00 & CR \\ \hline & & & & & & \\ \hline \end{tabular} \begin{tabular}{|c|l|c|c|c|c|c|} \hline Account: & \multicolumn{2}{|l|}{ Sales Revenue } & \multicolumn{2}{|c|}{ GL No: } & 400 \\ \hline Date & Description & PR & DR & CR & \multicolumn{3}{|c|}{ Balance (DR or CR) } \\ \hline & & & & & & \\ \hline & & & & & & \\ \hline & & & & & & \\ \hline \end{tabular} \begin{tabular}{|c|l|c|c|c|c|c|} \hline Account: & \multicolumn{2}{l|}{ Sales Discounts } & GL No: & 405 \\ \hline Date & Description & PR & DR & CR & \multicolumn{3}{|c|}{ Balance (DR or CR) } \\ \hline & & & & & & \\ \hline & & & & & & \\ \hline \end{tabular} \begin{tabular}{|c|l|c|c|c|c|c|} \hline Account: & \multicolumn{2}{l|}{ Sales Returns and Allowances } & \multicolumn{2}{|c|}{ GL No: } & 410 \\ \hline Date & Description & PR & DR & CR & \multicolumn{2}{|c|}{ Balance (DR or CR) } \\ \hline & & & & & & \\ \hline & & & & & & \\ \hline \end{tabular} Required: a) Prepare the journal entries for the month of June. You will also need to update the inventory in the table for each purchase and sale, return or allowance, found under the Inventory Valuation tab of this workbook. b)Enter the opening balances of the accounts from the opening balance sheet and post the above journal entries to the account. c) Complete the bank reconciliation report. d) Record the journal entries from the bank reconciliation and post amounts to general ledger accounts. e) Complete the 10-column worksheet. f) Post the adjusting entries to the accounts. g) Journalize and post the adjustments. h) Prepare the multistep income statement, calculation of retained earnings, classified balance sheet found under the financial statements tab of this workbook. i) Answer the analysis questions from ' a ' to ' i ' found under the financial statements tab of this workbook. 1) prepare a classified balance sheet. Assume that $19,980 of the bank loan will be paid off in the 12 months. kp2et on the information above, answer the following questions. a) Calculate the current ratio as at June 30, 2023 . b) Does Cloutier Inc. have a good or bad current ratio? Explain why or why not. c) Calculate the inventory days on hand ratio as at June 30, 2023. (Since this is for the month, do not multiply by 365 in the formula. Instead multiply by 31 days.) d) Last month, the inventory days on hand ratio was 12 days. Has the ratio improved? Why or why not? e) Calculate the debt to equity ratio as at June 30, 2023. f) Calculate the gross profit margin as at June 30, 2023. g) Last month, the gross profit margin percentage was 63%. What could have caused this decrease in gross margin percentage? h) Calculate the inventory turnover as at June 30, 2023. i) If inventory turnover last month was 2.58 is the company holding on to inventory for a longer or shorter period of tim Transactions for the month of June: At the end of June, the following adjustment had to be journalized to properly report the balances of the company's accounts: \begin{tabular}{|l|l|} \hline Jun 30 & For Prepaid Insurance, record the adjustment of $1,200 to the current month expense. \\ \hline Jun 30 & For Unearned Revenue, $4,350 still remains unearned at the end of June. \\ \hline Jun 30 & Monthly depreciation on the equipment was $2,150. \\ \hline \end{tabular} General Ledger Accounts \begin{tabular}{|c|l|l|l|l|l|l|l|} \hline Account: & \multicolumn{2}{l}{ Merchandise Inventory } & \multicolumn{2}{|l|}{ GL No: } & 120 \\ \hline Date & Description & PR & DR & CR & \multicolumn{3}{|c|}{ Balance (DR or CR) } \\ \hline & Opening Balance & & & & 38,000.00 & DR \\ \hline & & & & & & \\ \hline & & & & & & \\ \hline & & & & & & \\ \hline & & & & & & \\ \hline & & & & & & \\ \hline \end{tabular} \begin{tabular}{|c|l|c|c|c|c|c|} \hline Account: & \multicolumn{2}{l}{} & \multicolumn{2}{|c|}{ GL No: } & 125 \\ \hline Date & Description & PR & DR & CR & Balance (DR or CR) \\ \hline & Opening Balance & & & & 7,200.00 & DR \\ \hline & & & & & & \\ \hline & & & & & & \\ \hline \end{tabular} \begin{tabular}{|c|l|c|c|c|c|c|} \hline Account: & \multicolumn{2}{|c|}{ Equipment } & GL No: & 140 \\ \hline Date & Description & PR & DR & CR & \multicolumn{2}{|c|}{ Balance (DR or CR) } \\ \hline & Opening Balance & & & & 166,000.00 & DR \\ \hline & & & & & & \\ \hline & & & & & & \\ \hline \end{tabular} \begin{tabular}{|c|l|c|c|c|c|c|} \hline Account: & \multicolumn{2}{l|}{ Accumulated Depreciation } & GL No: & 145 \\ \hline Date & Description & PR & DR & CR & \multicolumn{2}{|c|}{ Balance (DR or CR) } \\ \hline & Opening Balance & & & & 81,000.00 & CR \\ \hline & & & & & & \\ \hline \end{tabular} \begin{tabular}{|c|l|l|l|l|l|l|} \hline Account: & \multicolumn{2}{l|}{ Accounts Payable } & \multicolumn{2}{|c|}{ GL No: } & 200 \\ \hline Date & Description & PR & DR & CR & \multicolumn{2}{|c|}{ Balance (DR or CR) } \\ \hline & Opening Balance & & & & 30,790.00 & CR \\ \hline & & & & & & \\ \hline & & & & & & \\ \hline & & & & & & \\ \hline \end{tabular} \begin{tabular}{|c|l|c|c|c|c|c|} \hline Account: & \multicolumn{2}{l|}{ Interest Payable } & \multicolumn{2}{|c|}{ GL No: } & 205 \\ \hline Date & Description & PR & DR & CR & \multicolumn{2}{|c|}{ Balance (DR or CR) } \\ \hline & Opening Balance & & & & 0.00 & CR \\ \hline & & & & & & \\ \hline & & & & & & \\ \hline \end{tabular} \begin{tabular}{|c|l|c|c|c|c|c|} \hline Account: & \multicolumn{2}{l}{ CPP Payable } & \multicolumn{2}{|c|}{ GL No: } & 220 \\ \hline Date & Description & PR & DR & CR & \multicolumn{2}{|c|}{ Balance (DR or CR) } \\ \hline & Opening Balance & & & & 0.00 & CR \\ \hline & & & & & & \\ \hline & & & & & & \\ \hline & & & & & & \\ \hline & & & & & & \\ \hline \end{tabular}
Step by Step Solution
There are 3 Steps involved in it
Get step-by-step solutions from verified subject matter experts
