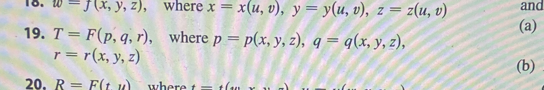
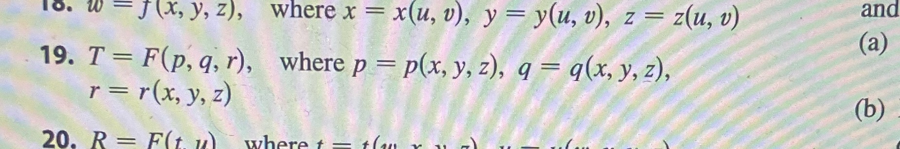
Question: Number 19 please Use a tree diagram to write out the Chain Rule for the given case. Assume all functions are differentiable

Number 19 please Use a tree diagram to write out the Chain Rule for the given case. Assume all functions are differentiable

Step by Step Solution
There are 3 Steps involved in it
Get step-by-step solutions from verified subject matter experts
