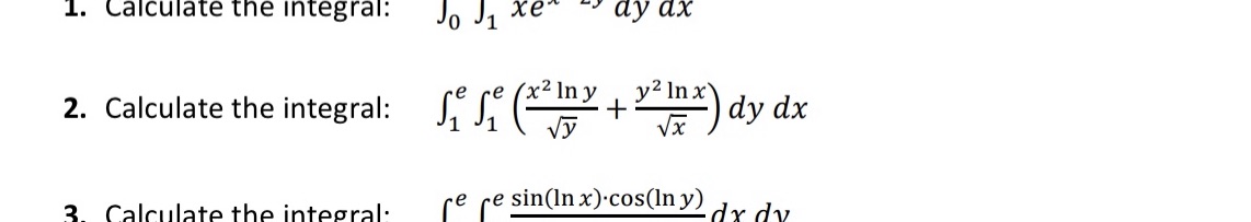
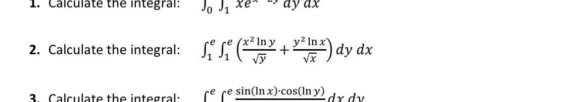
Question: Number 2 2. Calculate the integral: o e 1 e 1 e x2 Iny Inx dy dx e sin(ln y)

Number 2

2. Calculate the integral: o e 1 e 1 e x2 Iny Inx dy dx e sin(ln y)
Step by Step Solution
There are 3 Steps involved in it
Get step-by-step solutions from verified subject matter experts
