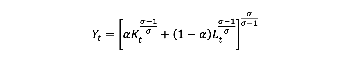
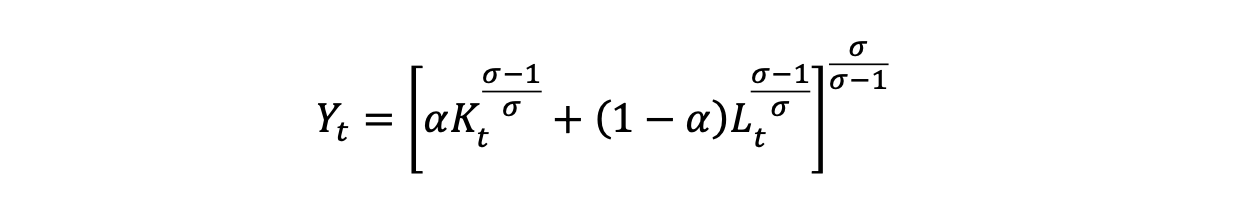
Question: O 0-1 0-170-1 Y+ = aKO + (1 - a)L al


O 0-1 0-170-1 Y+ = aKO + (1 - a)L
al
Step by Step Solution
There are 3 Steps involved in it
Get step-by-step solutions from verified subject matter experts
