Question: Objective: to compute the Lifetime Value (LTV) and develop a differential strategy based on the LTV. Must show all work. (excel is very helpful) Tables
Objective: to compute the Lifetime Value (LTV) and develop a differential strategy based on the LTV. Must show all work. (excel is very helpful) Tables 1,2,3 are posted after questions plus an optional table that may help.
The marketing manager of a mail order catalog firm is revisiting past customer data with a view to lay down some guidelines for the future. Currently, the firm does not differentiate between its customers. All catalogs are sent to all customers in the database.
She has a hunch that the first purchase made by a customer may be an indicator of the future profitability of that customer. If this were to be true, she would be able to tailor all marketing activities to a customer based on the very first purchase that a customer makes.
The marketing manager decided to look at a set of 7953 customers who first purchased six years ago.
To make the analysis comparable, she extracted data pertaining to the first purchase and all the subsequent purchases for a period of 5 years from the date of the first purchase for each individual customer in this group. Thus if a customer had made the first purchase six years ago in March 1,1996 the five-year period for that customer started the day after the first purchase i.e. on March 2, 1996. For a customer who had made the first purchase six years ago on September 4, 1996 the five-year period started on September 5, 1996. She noted that some customers did not make a repeat purchase in a given year, but there were some customers who made more than one repeat purchase.
The marketing manager found out that for this group of 7953 customers, the average initial purchase amount was $58. She decided to split the customers in to two groups using $50 dollars as the dividing value. There were 4657 customers whose initial purchase value was less than $50. The remaining 3296 customers had spent at least $50 on their first purchase. For each of the two groups, she obtained the average initial order value and the average repeat order value for each of the following five years.
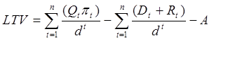
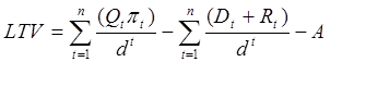
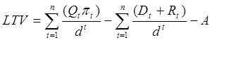
In order to compare the two groups, the marketing manager would need to compute the average lifetime value of the customers in each group. She is armed with the following formula :

Where
Pt = the probability of purchase in period t
Qt = the revenue purchased in period t
? = the margin on purchases in period t
dt = the discount rate , where d= ( 1+ ( interest rate x risk factor))
Dt = costs to develop the relationship in period t
Rt = cost to retain the customer in period t
A = initial acquisition cost
n = the number of periods
The marketing manager summarized the data that was at her disposal:
1. New Customer Acquisition costs :( to compute A)
a)Average cost to obtain prospect name = $0.10
b)Average cost to send initial catalog = $0.75
c)Average response rate = 2.3 %
2. Customer Purchase Analysis: (to compute Qt in dollars)
a) New customers who made their first purchase 6 years ago = 7953
b) Average initial purchase = $58, hence customers split in to two groups:
Group1- # of Customers with initial purchase
Group2- # of Customers with initial purchase >=$50 is 3296
c)Table 1 and Table 2 indicate the number of repeat purchases made by these
customers (tables are below)
d)Table 3 gives the average initial order size (in dollars) and the average repeat order size for the 5 years that followed
3. Development and Retention costs: (to compute Dt + Rt )
a) Number of catalogs mailed annually to each acquired customer = 5
b) Cost of mailing a catalog to a customer = $0.75
4. Average Margin on orders (?t) = 42%
5. Annual interest rate = 20% (to compute d)
6. Risk Factor = 1 (to compute d)
7. Since the analysis is being done on past data the value of Pt is taken as 1
Additional hints on solving the problem
Points to remember:
All calculations should be per customer basis because you will be computing average lifetime value for a customer.
Always multiply order amount by the average margin (= 42%) while calculating the LTV.
Remember that you are bringing back the contributions to the year of first purchase. So for orders placed in Year 1, t is taken as 1 and for orders placed in Year 2, t = 2 and for Year 5, t = 5. These values of t can be applied in the equation for LTV.
Computation of LTV
Since the analysis is being done on past data, Pt = 1. Hence the equation for LTV gets reduced to,

Calculating QtThis is illustrated by applying to last year orders for less than $50 category.
|
| ||
| orders last year | ||
| Frequency of Year 5 | # of orders | |
| 0 | 3837 | 0 |
| 1 | 626 | 626 |
| 2 | 141 | 282 |
| 3 | 38 | 114 |
| 4 | 10 | 40 |
| 5 | 3 | 15 |
| 8 | 2 | 16 |
| 4657 | 1093 | |
Qt * ?t (1,093*53.63*42%) = $24,619.39
dt = (1+20%)5 = 2.49
(Qt * ?t)/( dt) = $24,619.39/2.49 = $9,887.31
QUESTIONS
a)What is the average lifetime value of a customer in each of the two groups Group 1_______ Group 2_______
b)Is the decision to mail all catalogs to all customers justified in the light of the above analysis?
c)What other methods of grouping these customers can be considered that will help us differentiate customers based on their value?
d)What can we predict in terms of behavior in the coming year? What additional analysis would we need?

| Table 1: | |||||
| Frequencies * Year | |||||
| # Orders | 1 | 2 | 3 | 4 | 5 |
| 0 | 611 | 2739 | 3687 | 3730 | 3837 |
| 1 | 3508 | 1441 | 671 | 661 | 626 |
| 2 | 416 | 332 | 207 | 185 | 141 |
| 3 | 94 | 100 | 68 | 56 | 38 |
| 4 | 21 | 30 | 19 | 14 | 10 |
| 5 | 7 | 9 | 1 | 9 | 3 |
| 6 | 3 | 2 | 2 | ||
| 7 | 1 | 1 | |||
| 8 | 1 | 2 | |||
| 9 | 1 | ||||
| 10 | 1 | ||||
| 11 | |||||
| 12 | |||||
| 13 | |||||
| Zero Order % | |||||
| Table 2: >=$50 Initial Purchase Cohort | |||||
| Year | |||||
| # Orders | 1 | 2 | 3 | 4 | 5 |
| 0 | 421 | 1643 | 2430 | 2535 | 2673 |
| 1 | 2354 | 1120 | 562 | 548 | 463 |
| 2 | 397 | 354 | 214 | 151 | 120 |
| 3 | 91 | 121 | 53 | 37 | 30 |
| 4 | 20 | 37 | 27 | 20 | 7 |
| 5 | 6 | 12 | 6 | 3 | 2 |
| 6 | 5 | 5 | 2 | 2 | 1 |
| 7 | 1 | 3 | 1 | ||
| 8 | 1 | ||||
| 9 | 1 | ||||
| 10 | |||||
| 11 | |||||
| 12 | |||||
| 13 | 1 | ||||
| Table 3: Initial and Repeat Order $ Amounts by Year and Group | |||||||
| Group | $ Amount of Initial | $ Amount of repeate order-Year 1 | $ Amount of repeate order- Year 2 | $ Amount of repeate order- Year 3 | $ Amount of repeate order- Year 4 | $ Amount of repeate order- Year 5 | |
| Initial order | N | 3296.00 | 2875.00 | 1653.00 | 866.00 | 761.00 | 623.00 |
| >=$50 | Minimum | 50.00 | 30.17 | -16.15 | 8.73 | 14.20 | 2.62 |
| Maximum | 1104.00 | 1103.56 | 988.75 | 525.52 | 628.40 | 761.61 | |
| Mean | 95.55 | 93.46 | 74.02 | 67.75 | 67.12 | 78.26 | |
| Std. deviation | 67.46 | 63.81 | 63.79 | 56.11 | 57.13 | 69.41 | |
| Initial order | N | 4657.00 | 4046.00 | 1918.00 | 970.00 | 927.00 | 820.00 |
|
| Minimum | -35.00 | -35.10 | -55.05 | -9.18 | -47.60 | 4.38 |
| Maximum | 50.00 | 311.95 | 330.60 | 432.21 | 598.47 | 484.91 | |
| Mean | 31.84 | 32.09 | 41.78 | 51.05 | 52.43 | 53.63 | |
| Std. deviation | 9.97 | 11.23 | 28.28 | 37.98 | 40.20 | 39.31 | |
| Total | N | 7953.00 | 6921.00 | 3571.00 | 1836.00 | 1688.00 | 1443.00 |
| Minimum | -35.00 | -35.10 | -55.05 | -9.18 | -47.60 | 2.62 | |
| Maximum | 1104.00 | 1103.56 | 988.75 | 525.52 | 628.40 | 761.61 | |
| Mean | 58.24 | 57.58 | 56.70 | 58.92 | 59.05 | 64.27 | |
| To help you with the case, you can use the following grid sheet. (Optional) | ||||||
| Initial order | 12 monts | 24 months | 36 months | 48 months | 60 months | |
| Time period | 0 | 1 | 2 | 3 | 4 | 5 |
| # of active customers | ||||||
| Annual survival rate | ||||||
| Average # of orders** | ||||||
| Average Purchase | ||||||
| Total sales | ||||||
| Gross Profit | ||||||
| Fixed costs* | ||||||
| Net profit | ||||||
| Discount rate | ||||||
| PV | ||||||
| Cumulative NPV | ||||||
| CLV | ||||||
* Fixed cost for acquiring and cultivating all customers
** See CLV Excel sheet.
Step by Step Solution
There are 3 Steps involved in it
Get step-by-step solutions from verified subject matter experts
