Question: Obtain the ODE solution from the MATLAB method for the Laplace transform. Consider a system of equations Applying Laplace transform on both sides, we get
Obtain the ODE solution from the MATLAB method for the Laplace transform.

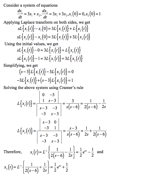
Consider a system of equations Applying Laplace transform on both sides, we get Using the initial values, we get Simplifying, we get Solving the above system using Cramer's rule 0 3 S-3 0 S-3 3(-6) 2s 2(s-6 12(,-6)- Therefore, x,()-L -2 and Consider a system of equations Applying Laplace transform on both sides, we get Using the initial values, we get Simplifying, we get Solving the above system using Cramer's rule 0 3 S-3 0 S-3 3(-6) 2s 2(s-6 12(,-6)- Therefore, x,()-L -2 and
Step by Step Solution
There are 3 Steps involved in it
Get step-by-step solutions from verified subject matter experts
