Question: Offset Strip-Fin (OSF) Heat Transfer Problem. Show all work, step-by-step. Answer all questions asked from problem. Following format needs to be used for heat transfer

Offset Strip-Fin (OSF) Heat Transfer Problem. Show all work, step-by-step. Answer all questions asked from problem. Following format needs to be used for heat transfer problem:

(1) a brief summary of the problem statement

(2) a list of the knowns

(3) a list or brief description of what is to be solved or found

(4) a list of the assumptions that are necessary to solve the problem

(5) an analysis section that shows all work

(6) a conclusion section that summarizes the results

Offset Strip-Fin (OSF) Heat Transfer Problem.Offset Strip-Fin (OSF) Heat Transfer Problem.Offset Strip-Fin (OSF) Heat Transfer Problem.Offset Strip-Fin (OSF) Heat Transfer Problem.Offset Strip-Fin (OSF) Heat Transfer Problem.
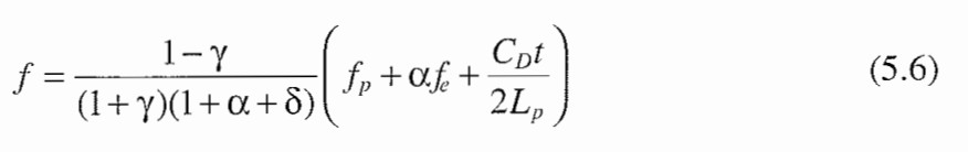
\fFigure 5.7 Unit cell used to derive the Joshi and Webb [1987] analytical model for the OSF.Point of transition Laminar model Repn Figure 5.8 Illustration of transition of the j factor from the laminar region. (From Joshi and Webb [1987].)Offset Strip-Fin (OSF) Array Problem We wish to use the analytical model developed by Joshi and Webb to predict the heat transfer and friction characteristics (j and f) of the Offset Strip-Fin (OSF) array. 1. Compare the predictions of the friction factor using equation 5.6 of the book to the measurements of Webb and Joshi (taken from "Prediction of the Friction Factor for the Offset Strip-Fin Matrix" and given in the last column of the table below) for surfaces | and 8 (see Table below) at Rep, = 529 and 623, respectively. As shown in the table below, the experimental friction ae for surfaces, 1 and 8 are 0.0551 and 0.0434 respectively. Use Cp = sume h(mm) | t(mm) | D;,(mm) i 0. 133 (). 7 38.1 0.406 7.518 0.0551 0.224 0.064 38.1 1.626 10.897 0.0434 2. Use the Webb and Joshi model given in the notes to make a plot of Nu versus the fin length (/) for 1 mm

Step by Step Solution

There are 3 Steps involved in it

1 Expert Approved Answer
Step: 1 Unlock blur-text-image
Question Has Been Solved by an Expert!

Get step-by-step solutions from verified subject matter experts

Step: 2 Unlock
Step: 3 Unlock

Students Have Also Explored These Related Accounting Questions!