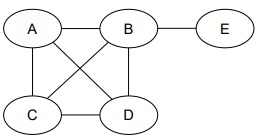
Question: One or more correct options ) Consider the MRF given below. Which of the following factorization ( s ) of P ( a , b
One or more correct options Consider the MRF given below. Which of the following factorizations of PabcdePabcdesatisfiessatisfy the independence assumptions represented by this MRF
Step by Step Solution
There are 3 Steps involved in it
1 Expert Approved Answer
Step: 1 Unlock
Question Has Been Solved by an Expert!
Get step-by-step solutions from verified subject matter experts
Step: 2 Unlock
Step: 3 Unlock
