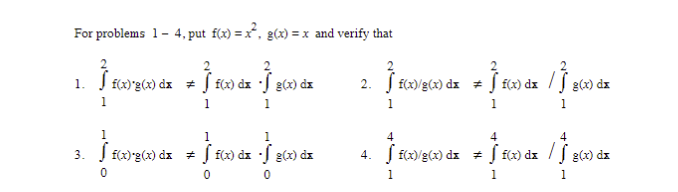
Question: Only number 2. For problems I 4, put (x) = x:. g(x) = x and verify that 2 3 _ f(x) di f g(x) ax

Only number 2.

For problems I 4, put (x) = x:. g(x) = x and verify that 2 3 _ f(x) di f g(x) ax 2 f(x) dl / g(x) dl
Step by Step Solution
There are 3 Steps involved in it
Get step-by-step solutions from verified subject matter experts
