Question: ONLY SOLVE #8! Everything else is already done, thank you. Make sure to show equations/calculations for PINK spaces of #8. Fill out the Pink and
ONLY SOLVE #8! Everything else is already done, thank you. Make sure to show equations/calculations for PINK spaces of #8.






Fill out the Pink and Yellow spaces of the Budgeted Balance Sheet. Please explain how you got each PINK number. Include your calculations for each PINK number.
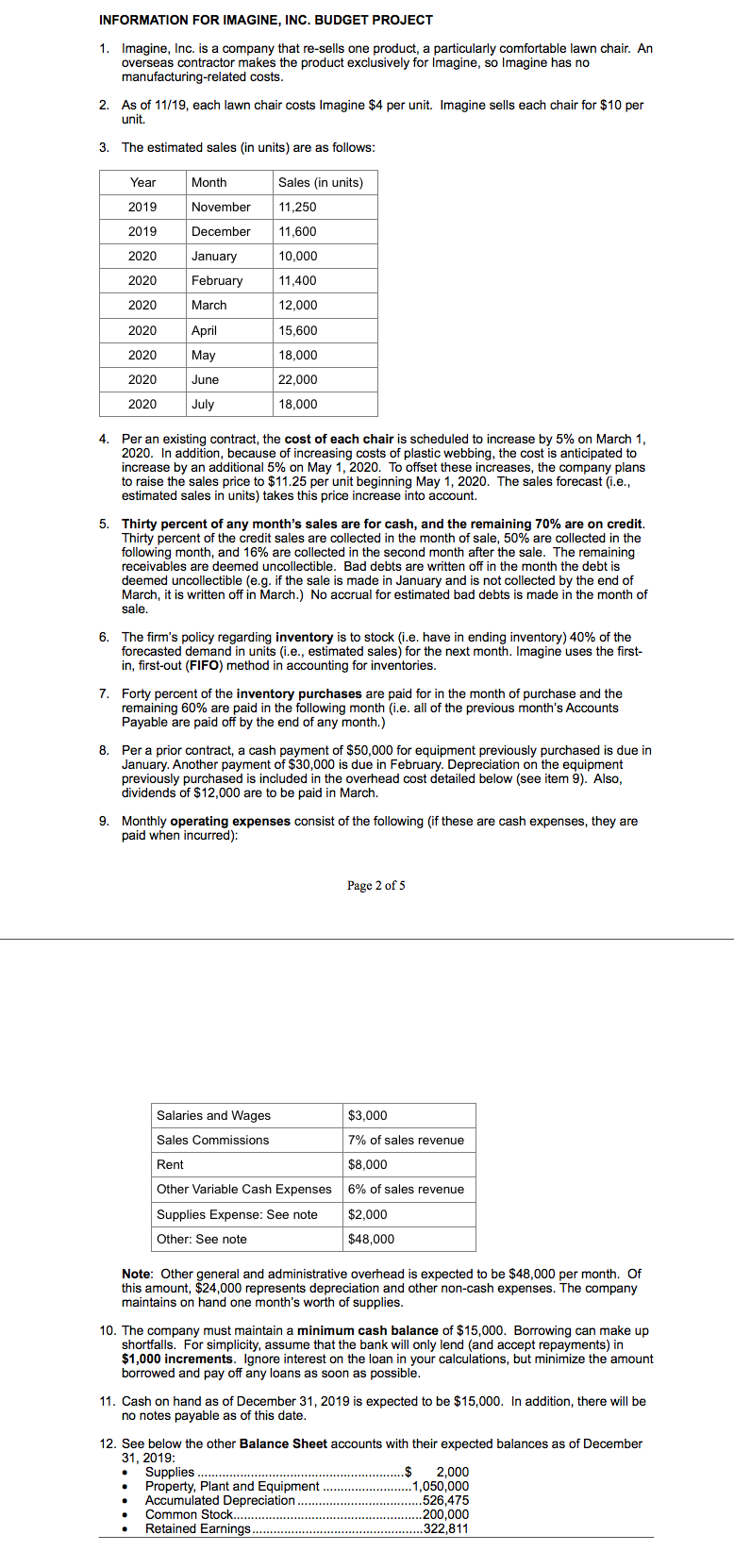
Required: You need to prepare a comprehensive 6-month budget, including supporting schedules and a report for the period January 1, 2020 to June 30, 2020 for Imagine, Inc (a fictional company). This project must include: 1. Sales Forecast and Budget 2. Cash Receipts budget 3. Purchase budget 4. Cash Purchases Disbursements budget 5. Operating Expense budget 6. Summary Cash budget 7. Budgeted Income Statement 8. Budgeted Balance Sheet 9. A written Summary Report INFORMATION FOR IMAGINE, INC. BUDGET PROJECT 1. Imagine, Inc. is a company that re-sells one product, a particularly comfortable lawn chair. An overseas contractor makes the product exclusively for Imagine, so Imagine has no manufacturing-related costs. 2. As of 11/19, each lawn chair costs Imagine $4 per unit. Imagine sells each chair for $10 per unit 3. The estimated sales (in units) are as follows: Year Month 2019 November Sales (in units) 11,250 11,600 2019 December 2020 10,000 2020 2020 January February March April May 2020 11,400 12,000 15,600 18,000 22,000 2020 2020 June 2020 July 18,000 4. Per an existing contract, the cost of each chair is scheduled to increase by 5% on March 1, 2020. In addition, because of increasing costs of plastic webbing, the cost is anticipated to increase by an additional 5% on May 1, 2020. To offset these increases, the company plans to raise the sales price to $11.25 per unit beginning May 1, 2020. The sales forecast (i.e., estimated sales in units) takes this price increase into account. 5. Thirty percent of any month's sales are for cash, and the remaining 70% are on credit. Thirty percent of the credit sales are collected in the month of sale, 50% are collected in the following month, and 16% are collected in the second month after the sale. The remaining receivables are deemed uncollectible. Bad debts are written off in the month the debt is deemed uncollectible (e.g. if the sale is made in January and is not collected by the end of March, it is written off in March.) No accrual for estimated bad debts is made in the month of sale. 6. The firm's policy regarding inventory is to stock i.e. have in ending inventory) 40% of the forecasted demand in units (i.e., estimated sales) for the next month. Imagine uses the first- in, first-out (FIFO) method in accounting for inventories. 7. Forty percent of the inventory purchases are paid for in the month of purchase and the remaining 60% are paid in the following month (.e. all of the previous month's Accounts Payable are paid off by the end of any month.) 8. Per a prior contract, a cash payment of $50,000 for equipment previously purchased is due in January. Another payment of $30,000 is due in February. Depreciation on the equipment previously purchased is included in the overhead cost detailed below (see item 9). Also, dividends of $12,000 are to be paid in March. 9. Monthly operating expenses consist of the following (if these are cash expenses, they are paid when incurred): Page 2 of 5 Rent Salaries and Wages $3,000 Sales Commissions 7% of sales revenue $8,000 Other Variable Cash Expenses 6% of sales revenue Supplies Expense: See note $2,000 Other: See note $48,000 Note: Other general and administrative overhead is expected to be $48,000 per month. Of this amount, $24,000 represents depreciation and other non-cash expenses. The company maintains on hand one month's worth of supplies. 10. The company must maintain a minimum cash balance of $15,000. Borrowing can make up shortfalls. For simplicity, assume that the bank will only lend (and accept repayments) in $1,000 increments. Ignore interest on the loan in your calculations, but minimize the amount borrowed and pay off any loans as soon as possible. 11. Cash on hand as of December 31, 2019 is expected to be $15,000. In addition, there will be no notes payable as of this date. 12. See below the other Balance Sheet accounts with their expected balances as of December 31, 2019: Supplies ... ...............$ 2,000 Property, Plant and Equipment ... ........ 1,050,000 Accumulated Depreciation ..526,475 Common Stock. 200,000 Retained Earnings. .322,811 Imagine, Inc. Sales Budget For the 6 months ending June 2020 Nov 19 Dec '19 Jan 20 11.250 11,600 10.000 10.00 $ 0.00 $ 10.00 112500 $ 116.000 $ 100.000s 6 mos total 89.000 Budged unit sales Seling price per unit Total Sales $ $ $ Feb 20 1 1,400 10.00 114.000 $ $ Mar 20 12.000 10.00 $ 120.000 s Apr 20 15.600 10.00 16.000 $ $ May 20 18.000 11.25 202500 $ $ Jun 20 22.000 11.25 247.500 940.000 2096 Cash Sales % Credit Sales % $ $ $ $ $ $ $ Cash Sales Credit Sales Total Sales 33,750 78.750 112.500 34,800 81,200 116.000 30,000 70.000 100.000 34,200 79,800 114.000 36,000 8 4,000 120.000 46,800 109.200 156.000 60,750 141,750 202.500 74,250 173.250 247.500 $ S S 282,000 658.000 940.000 $ $ $ S $ S $ $ Current month AR Collections 1 month prior A/R Collections 2 months prior A/R Collections Uncollectible 30% 50% Imagine, Inc Cash Collections For the 6 months ending June 2020 Current month cash Sales Current month A/R Collections 1 month prior AVR Colections 2 months prior A/R Collections Total cash colections an 20 30.000 21,000 40.600 12.600 104.2005 Feb 20 34,200 23,940 35,000 12.992 106.132 Mar 20 36,000 25,200 39,900 11,200 112200S Apr 20 46,800 32,760 42,000 12.768 134.328 May 20 60,750 42,525 54,600 13,440 171.315 S Jun 20 6 mos tota 74 250 $ 282.000 51,975 $ 197,400 70,875 $ 282,975 17.472 $ 80.472 214.5725 842.847 $ $ Bad Debt Expense 3,150 3,248 2.800 3.192 4.368 20.118 Desired ending inventory % 40% Imagine, Inc. Purchase Budget For the 6 months ending June 2020 19 Budged unit sales Add desired ending inventory Total needs Less Beginning Inventory Required Purchases 11,250 4,640 15.890 Dec '19 11,600 4,000 15,600 4,640 10.960 Jan 20 10,000 4.560 14,560 4,000 10.560 Feb 20 11,400 4,800 16,200 4,560 11.640 Mar 20 12,000 6,240 18,240 4.800 13 440 Apr 20 15,600 7,200 22.800 6.240 16.560 May 20 18,000 8,800 26,800 7,200 19.600 Jun 20 22,000 7,200 29.200 8,800 20400 6 mos total 89,000 38,800 127,800 35.600 92 200 4.41 Cost per unit Purchases 4.00 43.840 $ $ 4.00 42.240 $ $ 4.00 $ 46.50 $ 4.20 56.448 $ $ 4.20 69.552 $ $ 4.41 86.438 $ $ $ 89.964 391.200 % Paid in Month of Purchase % Paid in Month after Purchase Imagine, Inc. Schedule of Budgeted Cash Disbursements for Merchandise Purchases For the 6 months ending June 2020 $ $ $ $ $ Cash purchases 1 month prior A/P Colections Cash disbursements for merchandise purch. Jan 20 16,896 26,304 43.200 Feb 20 18,624 25,344 43.968 Mar 20 22,579 27.936 50.515 Apr 20 27,821 33,869 61.690 May 20 34,574 4 1,731 76206 Jun 20 35,986 5 1.862 AZ BAZ $ $ $ 6 mos total 156,480 207.046 262,523, $ $ S $ S 7% Fixed Operating expenses: Salaries and Wages Rent Supplies Expense Other - Overhead Other - Depreciation Variable Operating Expenses: 3,000 Sales Commissions, % of Revenue 8,000 Other Variable Cash Expenses, % of Revenue 2000 24,000 24,000 Imagine, Inc. Operating Expense Budget For the 6 months ending June 2020 $ $ $ $ $ $ Salaries and Wages Sales Commissions Rent Other Variable Cash Expenses Supplies Expense Other - Overhead Other - Depreciation Bad Debt Expense Total operating expenses Depreciation and noncash items Bad Debt Expense Cash disbursements for operating expenses Jan 20 3,000 7.000 8,000 6,000 2.000 24,000 24,000 3.150 774 150 24,000 3.150 50.000 Feb 20 3,000 7,980 8,000 6,840 2,000 24,000 24,000 3.248 79,068 24,000 3,248 51.820 Mar 20 3,000 $ 8,400 8,000 7,200 2,000 24,000 24,000 2.800 79,400 24,000 2,800 52.600s Apr 20 3,000 10,920 8,000 9,360 2,000 24,000 24,000 3.192 84.472 24,000 3192 57.280 May 20 3,000 14,175 8,000 12,150 2,000 24,000 24,000 3.360 90,685 24,000 3,360 63225 Jun 20 3,000 17.325 8,000 14,850 2,000 24,000 24,000 4,368 97,543 24,000 4,368 69.175 $ $ $ $ $ $ $ $ 6 mos tota 18.000 65,800 48,000 56,400 12,000 144,000 144.000 20.118 508,318 144,000 20. 118 344.200 $ $ $ Equipment payment-January Equipment payment- February Dividends - March Minimum Monthly Cash Budget $ S $ $ 50,000 30,000 12,000 15,000 Imagine, Inc. Cash Budget For the 6 months ending June 2020 $ $ $ $ $ Jan 20 15,000 104,200 119,200 Feb 20 15,000 106,132 121,132 Mar 20 15,344 112,300 127,644 Apr 20 15,529 134,328 149,857 May 20 15,887 171,315 187,202 Jun 20 15,572 214,572 230,144 S $ $ 6 mos total 92,332 842,847 935,179 43,200 50,000 50,000 43,968 51,820 30,000 50,515 52,600 61,690 57,280 57.280 6 3.328 76,306 63,325 87,847 69,175 89,845 S $ $ Cash balance, beginning Add collections from customers Totalcash available Less disbursements: Cash disbursements for merchandise purch. Cash disbursements for operating expenses Equipment purchases Dividends Total cash disbursements Excess ofreceipts over disbursements Financing: Borrowing-note Repayments-note Total financing Cash balance, ending 363,526 344,200 80,000 12,000 799,726 135,453 143,200 (24,000) 125,788 (4,656) 12,000 115,115 12,529 118,970 30,887 139,631 47,572 157,022 73,121 S $ 39,000 20,000 3,000 62,000 62,000 39,000 15.000 20,000 15.344 3,000 15.529 15,000 (15,000) 15.887 32,000 (32,000) 15.572 S 15,000 $ (15,000) S 58.121 S $ S S 135453 Imagine, Inc. Budgeted Income Statement For the 6 months ending June 2020 $ $ $ $ Sales, net Costofgoods sold: Gross margin Total operating expenses Net Income Jan 20 100,000 $ 40,000 60,000 $ 77.150 (17.150) S Feb 20 114,000 $ 45,600 68,400 $ 79,068 (10.668) S Mar 20 120,000 49,440 70,560 79,400 (840)S Apr 20 156,000 65,520 90,480 84,472 6 .000 May 20 202,500 77,868 124,632 90,685 33.947 S Jun 20 247,500 97,020 150,480 97,543 52937 Total 940,000 375,448 564,552 508,318 56234 $ $ $ S $ FIFO Calculation Jan Feb Mar Apr May Jun Beg Inventory $ 16,000 $ 18,240 $ 19,200 $ 26,208 $ 30,240 $ 38,808 Beg Inventory - Units 4,000 4,560 4,800 6,240 7,200 8,800 Purchases $ 42,240 $ 46,560 $ 56,448 $ 69,552 $ 86,436 $ 89,964 Purchases - Units 10,560 $ 11,640 $ 13,440 $ 16,560 $ 19,600 $ 20,400 $ COGS 40,000 45,600 49,440 65,520 77,868 97,020 COGS - Units 10,000 $ 11,400 $ 12,000 $ 15,600 $ 18,000 $ 22,000 $ Ending Inventory 18,240 19,200 26,208 30,240 38,808 31,752 Ending Inventory - Units 4,560 4,800 6,240 7,200 8,800 7,200 Imagine, Inc. Budgeted Balance Sheet 6/30/20 Assets Current Assets: Cash Accounts receivable Supplies Merchandise Inventory Plant and Equipment: Buildings and Equipment Accumulated Depreciation Total assets Liabilities and Equity Accounts payable Capital stock Retained earnings Total liabilities and equity Required: You need to prepare a comprehensive 6-month budget, including supporting schedules and a report for the period January 1, 2020 to June 30, 2020 for Imagine, Inc (a fictional company). This project must include: 1. Sales Forecast and Budget 2. Cash Receipts budget 3. Purchase budget 4. Cash Purchases Disbursements budget 5. Operating Expense budget 6. Summary Cash budget 7. Budgeted Income Statement 8. Budgeted Balance Sheet 9. A written Summary Report INFORMATION FOR IMAGINE, INC. BUDGET PROJECT 1. Imagine, Inc. is a company that re-sells one product, a particularly comfortable lawn chair. An overseas contractor makes the product exclusively for Imagine, so Imagine has no manufacturing-related costs. 2. As of 11/19, each lawn chair costs Imagine $4 per unit. Imagine sells each chair for $10 per unit 3. The estimated sales (in units) are as follows: Year Month 2019 November Sales (in units) 11,250 11,600 2019 December 2020 10,000 2020 2020 January February March April May 2020 11,400 12,000 15,600 18,000 22,000 2020 2020 June 2020 July 18,000 4. Per an existing contract, the cost of each chair is scheduled to increase by 5% on March 1, 2020. In addition, because of increasing costs of plastic webbing, the cost is anticipated to increase by an additional 5% on May 1, 2020. To offset these increases, the company plans to raise the sales price to $11.25 per unit beginning May 1, 2020. The sales forecast (i.e., estimated sales in units) takes this price increase into account. 5. Thirty percent of any month's sales are for cash, and the remaining 70% are on credit. Thirty percent of the credit sales are collected in the month of sale, 50% are collected in the following month, and 16% are collected in the second month after the sale. The remaining receivables are deemed uncollectible. Bad debts are written off in the month the debt is deemed uncollectible (e.g. if the sale is made in January and is not collected by the end of March, it is written off in March.) No accrual for estimated bad debts is made in the month of sale. 6. The firm's policy regarding inventory is to stock i.e. have in ending inventory) 40% of the forecasted demand in units (i.e., estimated sales) for the next month. Imagine uses the first- in, first-out (FIFO) method in accounting for inventories. 7. Forty percent of the inventory purchases are paid for in the month of purchase and the remaining 60% are paid in the following month (.e. all of the previous month's Accounts Payable are paid off by the end of any month.) 8. Per a prior contract, a cash payment of $50,000 for equipment previously purchased is due in January. Another payment of $30,000 is due in February. Depreciation on the equipment previously purchased is included in the overhead cost detailed below (see item 9). Also, dividends of $12,000 are to be paid in March. 9. Monthly operating expenses consist of the following (if these are cash expenses, they are paid when incurred): Page 2 of 5 Rent Salaries and Wages $3,000 Sales Commissions 7% of sales revenue $8,000 Other Variable Cash Expenses 6% of sales revenue Supplies Expense: See note $2,000 Other: See note $48,000 Note: Other general and administrative overhead is expected to be $48,000 per month. Of this amount, $24,000 represents depreciation and other non-cash expenses. The company maintains on hand one month's worth of supplies. 10. The company must maintain a minimum cash balance of $15,000. Borrowing can make up shortfalls. For simplicity, assume that the bank will only lend (and accept repayments) in $1,000 increments. Ignore interest on the loan in your calculations, but minimize the amount borrowed and pay off any loans as soon as possible. 11. Cash on hand as of December 31, 2019 is expected to be $15,000. In addition, there will be no notes payable as of this date. 12. See below the other Balance Sheet accounts with their expected balances as of December 31, 2019: Supplies ... ...............$ 2,000 Property, Plant and Equipment ... ........ 1,050,000 Accumulated Depreciation ..526,475 Common Stock. 200,000 Retained Earnings. .322,811 Imagine, Inc. Sales Budget For the 6 months ending June 2020 Nov 19 Dec '19 Jan 20 11.250 11,600 10.000 10.00 $ 0.00 $ 10.00 112500 $ 116.000 $ 100.000s 6 mos total 89.000 Budged unit sales Seling price per unit Total Sales $ $ $ Feb 20 1 1,400 10.00 114.000 $ $ Mar 20 12.000 10.00 $ 120.000 s Apr 20 15.600 10.00 16.000 $ $ May 20 18.000 11.25 202500 $ $ Jun 20 22.000 11.25 247.500 940.000 2096 Cash Sales % Credit Sales % $ $ $ $ $ $ $ Cash Sales Credit Sales Total Sales 33,750 78.750 112.500 34,800 81,200 116.000 30,000 70.000 100.000 34,200 79,800 114.000 36,000 8 4,000 120.000 46,800 109.200 156.000 60,750 141,750 202.500 74,250 173.250 247.500 $ S S 282,000 658.000 940.000 $ $ $ S $ S $ $ Current month AR Collections 1 month prior A/R Collections 2 months prior A/R Collections Uncollectible 30% 50% Imagine, Inc Cash Collections For the 6 months ending June 2020 Current month cash Sales Current month A/R Collections 1 month prior AVR Colections 2 months prior A/R Collections Total cash colections an 20 30.000 21,000 40.600 12.600 104.2005 Feb 20 34,200 23,940 35,000 12.992 106.132 Mar 20 36,000 25,200 39,900 11,200 112200S Apr 20 46,800 32,760 42,000 12.768 134.328 May 20 60,750 42,525 54,600 13,440 171.315 S Jun 20 6 mos tota 74 250 $ 282.000 51,975 $ 197,400 70,875 $ 282,975 17.472 $ 80.472 214.5725 842.847 $ $ Bad Debt Expense 3,150 3,248 2.800 3.192 4.368 20.118 Desired ending inventory % 40% Imagine, Inc. Purchase Budget For the 6 months ending June 2020 19 Budged unit sales Add desired ending inventory Total needs Less Beginning Inventory Required Purchases 11,250 4,640 15.890 Dec '19 11,600 4,000 15,600 4,640 10.960 Jan 20 10,000 4.560 14,560 4,000 10.560 Feb 20 11,400 4,800 16,200 4,560 11.640 Mar 20 12,000 6,240 18,240 4.800 13 440 Apr 20 15,600 7,200 22.800 6.240 16.560 May 20 18,000 8,800 26,800 7,200 19.600 Jun 20 22,000 7,200 29.200 8,800 20400 6 mos total 89,000 38,800 127,800 35.600 92 200 4.41 Cost per unit Purchases 4.00 43.840 $ $ 4.00 42.240 $ $ 4.00 $ 46.50 $ 4.20 56.448 $ $ 4.20 69.552 $ $ 4.41 86.438 $ $ $ 89.964 391.200 % Paid in Month of Purchase % Paid in Month after Purchase Imagine, Inc. Schedule of Budgeted Cash Disbursements for Merchandise Purchases For the 6 months ending June 2020 $ $ $ $ $ Cash purchases 1 month prior A/P Colections Cash disbursements for merchandise purch. Jan 20 16,896 26,304 43.200 Feb 20 18,624 25,344 43.968 Mar 20 22,579 27.936 50.515 Apr 20 27,821 33,869 61.690 May 20 34,574 4 1,731 76206 Jun 20 35,986 5 1.862 AZ BAZ $ $ $ 6 mos total 156,480 207.046 262,523, $ $ S $ S 7% Fixed Operating expenses: Salaries and Wages Rent Supplies Expense Other - Overhead Other - Depreciation Variable Operating Expenses: 3,000 Sales Commissions, % of Revenue 8,000 Other Variable Cash Expenses, % of Revenue 2000 24,000 24,000 Imagine, Inc. Operating Expense Budget For the 6 months ending June 2020 $ $ $ $ $ $ Salaries and Wages Sales Commissions Rent Other Variable Cash Expenses Supplies Expense Other - Overhead Other - Depreciation Bad Debt Expense Total operating expenses Depreciation and noncash items Bad Debt Expense Cash disbursements for operating expenses Jan 20 3,000 7.000 8,000 6,000 2.000 24,000 24,000 3.150 774 150 24,000 3.150 50.000 Feb 20 3,000 7,980 8,000 6,840 2,000 24,000 24,000 3.248 79,068 24,000 3,248 51.820 Mar 20 3,000 $ 8,400 8,000 7,200 2,000 24,000 24,000 2.800 79,400 24,000 2,800 52.600s Apr 20 3,000 10,920 8,000 9,360 2,000 24,000 24,000 3.192 84.472 24,000 3192 57.280 May 20 3,000 14,175 8,000 12,150 2,000 24,000 24,000 3.360 90,685 24,000 3,360 63225 Jun 20 3,000 17.325 8,000 14,850 2,000 24,000 24,000 4,368 97,543 24,000 4,368 69.175 $ $ $ $ $ $ $ $ 6 mos tota 18.000 65,800 48,000 56,400 12,000 144,000 144.000 20.118 508,318 144,000 20. 118 344.200 $ $ $ Equipment payment-January Equipment payment- February Dividends - March Minimum Monthly Cash Budget $ S $ $ 50,000 30,000 12,000 15,000 Imagine, Inc. Cash Budget For the 6 months ending June 2020 $ $ $ $ $ Jan 20 15,000 104,200 119,200 Feb 20 15,000 106,132 121,132 Mar 20 15,344 112,300 127,644 Apr 20 15,529 134,328 149,857 May 20 15,887 171,315 187,202 Jun 20 15,572 214,572 230,144 S $ $ 6 mos total 92,332 842,847 935,179 43,200 50,000 50,000 43,968 51,820 30,000 50,515 52,600 61,690 57,280 57.280 6 3.328 76,306 63,325 87,847 69,175 89,845 S $ $ Cash balance, beginning Add collections from customers Totalcash available Less disbursements: Cash disbursements for merchandise purch. Cash disbursements for operating expenses Equipment purchases Dividends Total cash disbursements Excess ofreceipts over disbursements Financing: Borrowing-note Repayments-note Total financing Cash balance, ending 363,526 344,200 80,000 12,000 799,726 135,453 143,200 (24,000) 125,788 (4,656) 12,000 115,115 12,529 118,970 30,887 139,631 47,572 157,022 73,121 S $ 39,000 20,000 3,000 62,000 62,000 39,000 15.000 20,000 15.344 3,000 15.529 15,000 (15,000) 15.887 32,000 (32,000) 15.572 S 15,000 $ (15,000) S 58.121 S $ S S 135453 Imagine, Inc. Budgeted Income Statement For the 6 months ending June 2020 $ $ $ $ Sales, net Costofgoods sold: Gross margin Total operating expenses Net Income Jan 20 100,000 $ 40,000 60,000 $ 77.150 (17.150) S Feb 20 114,000 $ 45,600 68,400 $ 79,068 (10.668) S Mar 20 120,000 49,440 70,560 79,400 (840)S Apr 20 156,000 65,520 90,480 84,472 6 .000 May 20 202,500 77,868 124,632 90,685 33.947 S Jun 20 247,500 97,020 150,480 97,543 52937 Total 940,000 375,448 564,552 508,318 56234 $ $ $ S $ FIFO Calculation Jan Feb Mar Apr May Jun Beg Inventory $ 16,000 $ 18,240 $ 19,200 $ 26,208 $ 30,240 $ 38,808 Beg Inventory - Units 4,000 4,560 4,800 6,240 7,200 8,800 Purchases $ 42,240 $ 46,560 $ 56,448 $ 69,552 $ 86,436 $ 89,964 Purchases - Units 10,560 $ 11,640 $ 13,440 $ 16,560 $ 19,600 $ 20,400 $ COGS 40,000 45,600 49,440 65,520 77,868 97,020 COGS - Units 10,000 $ 11,400 $ 12,000 $ 15,600 $ 18,000 $ 22,000 $ Ending Inventory 18,240 19,200 26,208 30,240 38,808 31,752 Ending Inventory - Units 4,560 4,800 6,240 7,200 8,800 7,200 Imagine, Inc. Budgeted Balance Sheet 6/30/20 Assets Current Assets: Cash Accounts receivable Supplies Merchandise Inventory Plant and Equipment: Buildings and Equipment Accumulated Depreciation Total assets Liabilities and Equity Accounts payable Capital stock Retained earnings Total liabilities and equity
Step by Step Solution
There are 3 Steps involved in it
Get step-by-step solutions from verified subject matter experts
