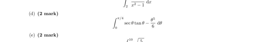
Question: only the answer the full one that is shown in the middle not the other two (d) (2 mark) (e) (2 mark) 2 05 seco

only the answer the full one that is shown in the middle not the other two

(d) (2 mark) (e) (2 mark) 2 05 seco tan 9 6
Step by Step Solution
There are 3 Steps involved in it
Get step-by-step solutions from verified subject matter experts
