Question: Operations Management COMMENT TO TUTOR: The 2nd question is already answered but I'll still include it. Please look over my answers for those questions. I've
Operations Management
COMMENT TO TUTOR: The 2nd question is already answered but I'll still include it. Please look over my answers for those questions. I've attached them after the table. Let me know if they need to be revised. The last 4 questions are what I'm having trouble with (questions 1, 3, 4, and 5). Thank you in advance!


Question already answered:
| Question 2 |  Efficiency: Maximum cycle time: 10.92 mins Minimum cycle time: 1.5 mins efficiency: 10.92 / (19 * 1.5) = 38.32% |
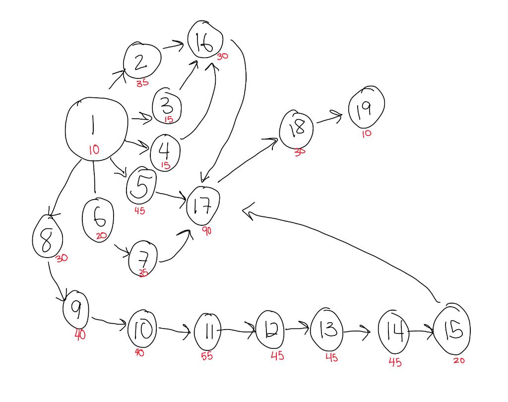
Case Study -- Line Balancing Quality Technology (QT), Inc. was founded by two first-year college students to produce a knockoff real estate board game similar to the popular Parker Brothers' game Monopoly. QT's orders are either for a new game board that has not been produced before or repeat orders for a previously produced game. If the order is for a new game, the client first meets with a graphic designer from QT's art department, and the actual game board is designed. The board's design can take anywhere from a few hours to several weeks, depending on how much the client has thought about the game before the meeting. All design work is done on personal computers. After the client approves the design, a copy of the computer file containing the design is transferred electronically to the printing department. Workers in the printing department load the file onto their own personal computers and print out the board design on special decals, 19.25 inches by 19.25 inches, using high-quality color inkjet printers. The decal side that is printed on is usually light gray, and the other side contains an adhesive that is covered by a removable backing. The printing department is also responsible for printing the property cards, game cards, and money. The money is printed on colored paper using standard laser printers. Ten copies of a particular denomination are printed on each 8.5-inch by 11-inch piece of paper. The money is then moved to the cutting department, where it is then cut into individual bills. The property cards and game cards are produced. Similarly, the major difference being that they are printed on a material resembling a poster board. In addition to cutting the money, game cards, and property cards, the cutting department also cuts the cardboard that serves as the actual game board substrate. The game board consists of two boards created by cutting a single 19-inch by 19.25-inch piece of cardboard in half, yielding two boards, each measuring 19.25 inches by 19.5 inches. After being cut, game boards, money, and cards are stored in totes in a work- in-process area and delivered to the appropriate station on the assembly line as needed. Because of its explosive growth, QT's assembly line was never formally planned. It merely evolved into the 19 stations shown in Table 1. Questions 1. In one paragraph, explain what type of processes (i.e., transformation system(s)) is used by QT. Do Not explain the answer to questions 2-5. Just show your work. 2. What is the cycle time of the 19-stations line? What is its efficiency? 3. What is the line's maximum capacity per day, assuming that it is operated for one 8-hour shift, less two 15-minute breaks? Assuming that QT operates 200 days per year, what is its annual capacity? 4. Assign tasks to workstations according to the "greatest number of following tasks" approach. 5. Calculate the efficiency of the new process Immediate Predecessor 1 1 1 1 6 1 8 9 Table 1 Time to Workstation Task(s) Performed at Station Perform Number Tasks 1 Get box bottom and place plastic money tray in box bottom. Take 10 seconds two dice bin and place in box bottom in area not take up by tray. 2 Count out 35 plastic houses and place in box bottom. 35 seconds 3 Count out 15 plastic hotels and place in box bottom. 15 seconds 4 Take one game piece from each of eight bins and place them in 15 seconds box bottom 5 Take one property card from each of 28 bins. Place rubber band 45 seconds around property cards and place cards in box bottom. 6 Take one orange card from each of 15 bins. Place rubber band 20 seconds around cards and place cards in box bottom. 7 Take one yellow card from each of 15 bins. Take orange cards 35 seconds from box and remove rubber band. Place yellow cards on top of orange cards. Place rubber band around yellow and orange cards and place cards in box bottom. 8 Count out 25 $500 bills and attach to cardboard strip with rubber 30 seconds band. Place money in box bottom. 9 Count out 20 $100 bills. Take $500 bills from box bottom and 40 seconds remove rubber band. Place $100 bills on top of $500 bills. Attach rubber band around money and place in box bottom. 10 Count out 25 $50 bills. Take $500 and $100 bills from box bottom 40 seconds and remove rubber band. Place $50 bills on top. Attach rubber band around money and place in bottom box. 11 Count out 50 $20 bills. Take money in box and remove rubber band. 55 seconds Place $20 bills on top. Attach rubber band around money and place in box bottom. 12 Count at 40 $10 bills. Take money in box and remove rubber band. 45 seconds Place $10 bills on top. Attach rubber band around money and place in box bottom. 13 Count out 40 $5 bills. Take money in box and remove rubber band. 45 seconds Place $5 bills on top. Attach rubber band around money and place in box bottom. 14 Count at 40 $1 bills. Take money in box and remove rubber band. 45 seconds Place $1 bills on top. Attach rubber band around money and place in box bottom. 15 Take money and remove rubber band. Shrink wrap money and place 20 seconds in box bottom. 16 Take houses, hotels, dice, and game pieces and place in big. Seal 30 seconds bag and place bag in box. 17 Place two cardboard game board halves in fixture so that they are 90 seconds separated by /4 in. Peel backing off of printed game board decal. Align decal over board halves and lower it down. Remove board from fixture and flip it over. Attach solid blue backing decal. Flip game board over again and fold blue backing over front of game board, creating a /4 in. border. Fold game board in half and place in box covering money tray, game pieces, and cards. 18 Place game instructions in box. Place box top on box bottom. Shrink 30 seconds wrap entire box. 19 Place completed box in carton. 10 seconds 10 11 12 13 14 2,3,4 5,7,15,16 17 18 16 2 19 81 ol 4 IS 45 17 6 30 (ro fullt *12 El 14 ( 40 55 GH 45 45 20