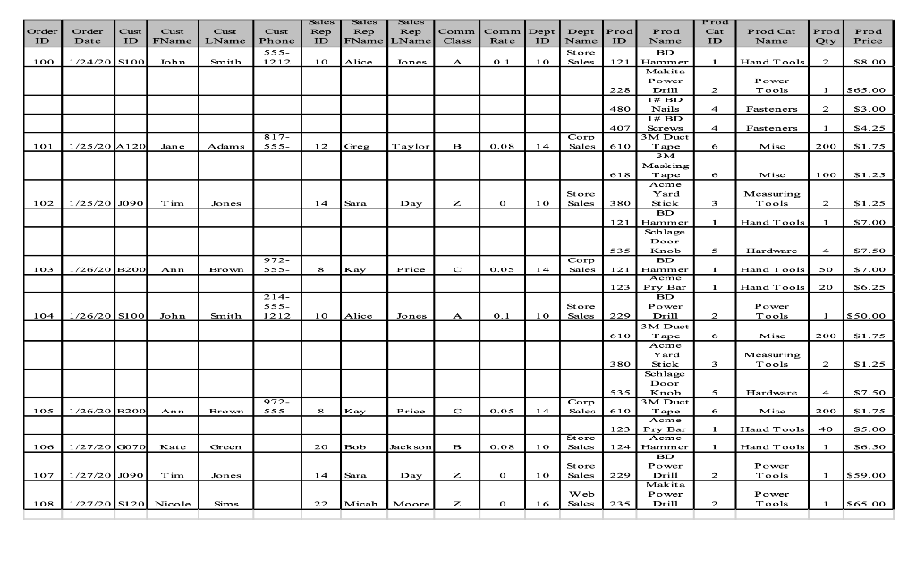
Question: Order ID Order Date Cust ID Cust FName Cust LName Sus Sacs Rep Rep Rep Comm Comm Dept ID FName LName Class Rate ID Pro


Step by Step Solution
There are 3 Steps involved in it
1 Expert Approved Answer
Step: 1 Unlock
Question Has Been Solved by an Expert!
Get step-by-step solutions from verified subject matter experts
Step: 2 Unlock
Step: 3 Unlock
