Question: p13 29. The auditor should evaluate whether analytical procedures performed as substantive tests or in the overall review stage indicate a previously unrecognized risk of

p13

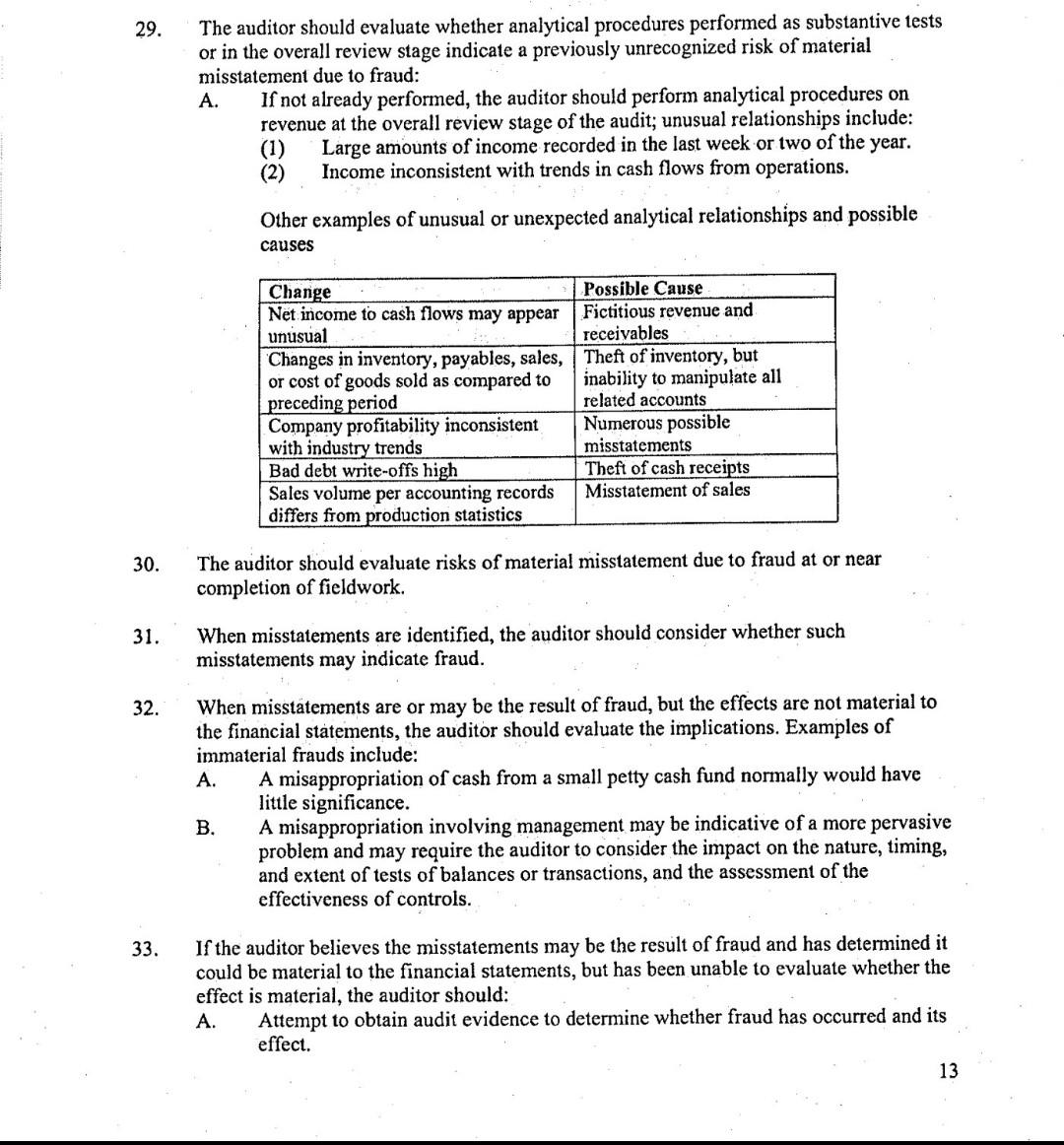
29. The auditor should evaluate whether analytical procedures performed as substantive tests or in the overall review stage indicate a previously unrecognized risk of material misstatement due to fraud: A. If not already performed, the auditor should perform analytical procedures on revenue at the overall review stage of the audit; unusual relationships include: (1) Large amounts of income recorded in the last week or two of the year. (2) Income inconsistent with trends in cash flows from operations. Other examples of unusual or unexpected analytical relationships and possible causes 30. The auditor should evaluate risks of material misstatement due to fraud at or near completion of fieldwork. 31. When misstatements are identified, the auditor should consider whether such misstatements may indicate fraud. 32. When misstatements are or may be the result of fraud, but the effects are not material to the financial statements, the auditor should evaluate the implications. Examples of immaterial frauds include: A. A misappropriation of cash from a small petty cash fund normally would have little significance. B. A misappropriation involving management may be indicative of a more pervasive problem and may require the auditor to consider the impact on the nature, timing, and extent of tests of balances or transactions, and the assessment of the effectiveness of controls. 33. If the auditor believes the misstatements may be the result of fraud and has determined it could be material to the financial statements, but has been unable to evaluate whether the effect is material, the auditor should: A. Attempt to obtain audit evidence to determine whether fraud has occurred and its effect. Fraud (previously referred to as irregularities) -Intentional misstatements or omissions of amounts or disclosures in financial statements. Audits are concerned with misstatements arising from two distinct types of acts: Fraudulent Financial Reporting - Intentional misstatements in financial statements to deceive financial statement users. Misappropriation of assets (also referred to as "defalcations")-Theft of company's assets the effect of which has not been appropriately reflected in the financial statements. PROFESSIONAL SKEPTICISM BACKGROUND INFORMATION (AU 230) 4. In every audit, the exercise of professional skepticism is paramount. In many audit failures involving fraud, inadequate professional skepticism is frequently cited as a significant reason why the material misstatement was not detected by the auditor. 5. The third general standard of the generally accepted auditing standards is: Due professional care is to be exercised in the planning and performance of the audit and the preparation of the report. 6. In discussing due professional care, the standards state that: A. Due professional care requires the auditor to exercise professional skepticism. Professional skepticism is an attitude that includes a questioning mind and a critical assessment of audit evidence. Standards go on to state that an auditor should neither assume that management is dishonest nor assume unquestioned honesty. 29. The auditor should evaluate whether analytical procedures performed as substantive tests or in the overall review stage indicate a previously unrecognized risk of material misstatement due to fraud: A. If not already performed, the auditor should perform analytical procedures on revenue at the overall review stage of the audit; unusual relationships include: (1) Large amounts of income recorded in the last week or two of the year. (2) Income inconsistent with trends in cash flows from operations. Other examples of unusual or unexpected analytical relationships and possible causes 30. The auditor should evaluate risks of material misstatement due to fraud at or near completion of fieldwork. 31. When misstatements are identified, the auditor should consider whether such misstatements may indicate fraud. 32. When misstatements are or may be the result of fraud, but the effects are not material to the financial statements, the auditor should evaluate the implications. Examples of immaterial frauds include: A. A misappropriation of cash from a small petty cash fund normally would have little significance. B. A misappropriation involving management may be indicative of a more pervasive problem and may require the auditor to consider the impact on the nature, timing, and extent of tests of balances or transactions, and the assessment of the effectiveness of controls. 33. If the auditor believes the misstatements may be the result of fraud and has determined it could be material to the financial statements, but has been unable to evaluate whether the effect is material, the auditor should: A. Attempt to obtain audit evidence to determine whether fraud has occurred and its effect. Fraud (previously referred to as irregularities) -Intentional misstatements or omissions of amounts or disclosures in financial statements. Audits are concerned with misstatements arising from two distinct types of acts: Fraudulent Financial Reporting - Intentional misstatements in financial statements to deceive financial statement users. Misappropriation of assets (also referred to as "defalcations")-Theft of company's assets the effect of which has not been appropriately reflected in the financial statements. PROFESSIONAL SKEPTICISM BACKGROUND INFORMATION (AU 230) 4. In every audit, the exercise of professional skepticism is paramount. In many audit failures involving fraud, inadequate professional skepticism is frequently cited as a significant reason why the material misstatement was not detected by the auditor. 5. The third general standard of the generally accepted auditing standards is: Due professional care is to be exercised in the planning and performance of the audit and the preparation of the report. 6. In discussing due professional care, the standards state that: A. Due professional care requires the auditor to exercise professional skepticism. Professional skepticism is an attitude that includes a questioning mind and a critical assessment of audit evidence. Standards go on to state that an auditor should neither assume that management is dishonest nor assume unquestioned honesty
Step by Step Solution
There are 3 Steps involved in it
Get step-by-step solutions from verified subject matter experts
