Question: p2 is the LP solution of this problem, I do not know how can i get this LP? especially how to figure out 2000,480,3000? p1:
p2 is the LP solution of this problem, I do not know how can i get this LP? especially how to figure out 2000,480,3000?
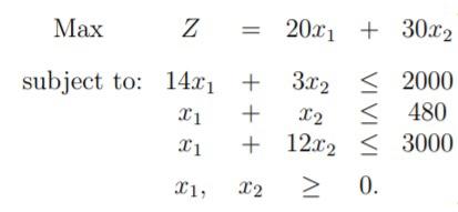
1. A coffee firm sells Premium blend" and "Economy blend" coffee. Both are blended from three basic grades of coffee, A, B and C: Premium blend = 70% A + 25% B + 5%C Economy blend = 15% A + 25% B + 60% The market prices are $925/tonne for Premium and $550/tonne for Economy. One week the firm is given the option of buying up to 100 tonnes of grade A at $1000/tonne, 120 tonnes of grade B at $760/tonne and 150 tonnes of grade C at $300/tonne. Calculate the profit per tonne of each blend of coffee. How much of each blend should the firm produce to maximize its profit and what is the maximum profit? 0.1...: Max Z 11 20x1 + 30:22 C2 subject to: 14.x1 + + 3.22 0. I 1 21
p1:
p2:

Step by Step Solution
There are 3 Steps involved in it
1 Expert Approved Answer
Step: 1 Unlock
Question Has Been Solved by an Expert!
Get step-by-step solutions from verified subject matter experts
Step: 2 Unlock
Step: 3 Unlock
