Question: Page 4 Question 4 ( 2 0 marks ) Rochelle Green, the Senior Accountant of Toptech Solutions Inc. is reviewing the work of the Junior

Page
Question marks
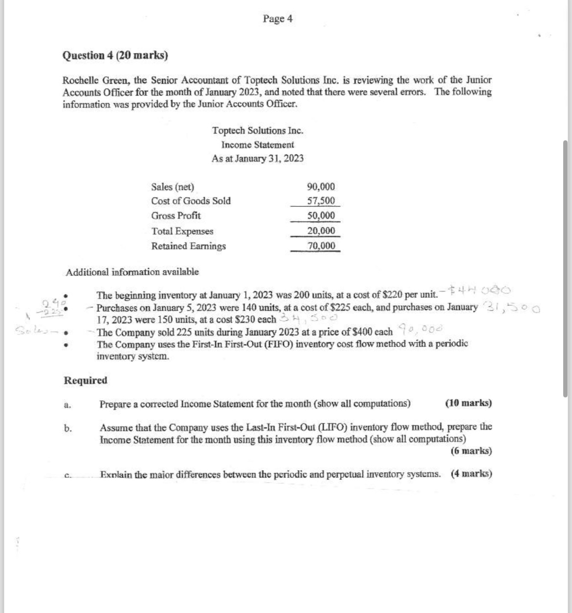
Rochelle Green, the Senior Accountant of Toptech Solutions Inc. is reviewing the work of the Junior Accounts Officer for the month of January and noted that there were several errors. The following information was provided by the Junior Accounts Officer.
Toptech Solutions Inc.
Income Statement
As at January
tableSales netCost of Goods Sold,Gross Profit,Total Expenses,Retained Earnings,
Additional information available
The beginning inventory at January was units, at a cost of $ per unit.
Purchases on January were units, at a cost of $ each, and purchases on January were units, at a cost $ each
The Company sold units during January at a price of $ each The Company uses the FirstIn FirstOut FIFO inventory cost flow method with a periodic inventory system.
Required
a Prepare a corrected Income Statement for the month show all computations
marks
b Assume that the Company uses the LastIn FirstOut LIFO inventory flow method, prepare the Income Statement for the month using this inventory flow method show all computations
marks
c Exnlain the maior differences between the periodic and perpetual inventory systems. marks
Step by Step Solution
There are 3 Steps involved in it
1 Expert Approved Answer
Step: 1 Unlock
Question Has Been Solved by an Expert!
Get step-by-step solutions from verified subject matter experts
Step: 2 Unlock
Step: 3 Unlock
