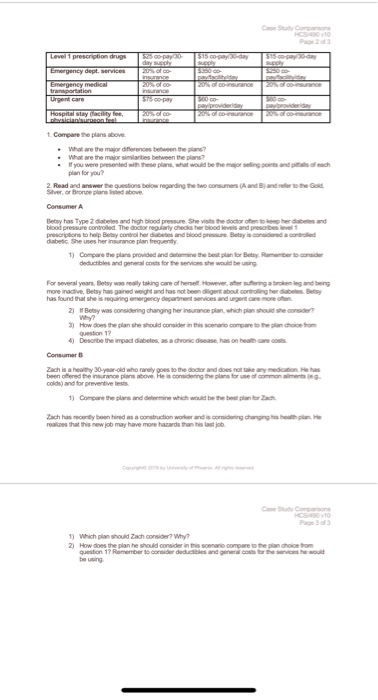
Question: Part 1 Complete the chart below that differentiates the following insurance types. Include 5 to 7 characteristics as well as the target audience for each


Step by Step Solution
There are 3 Steps involved in it
1 Expert Approved Answer
Step: 1 Unlock
Question Has Been Solved by an Expert!
Get step-by-step solutions from verified subject matter experts
Step: 2 Unlock
Step: 3 Unlock
