Question: Part 1 ^^ (NOT NEEDED) PART 2 ^^ (NEEDED) Complete a general journal entry, adjusted entry, and closing entry for MARCH (PART 2 MIDDLE PICTURE)

Part 1 ^^ (NOT NEEDED)

PART 2 ^^ (NEEDED)

Complete a general journal entry, adjusted entry, and closing entry for MARCH (PART 2 MIDDLE PICTURE)
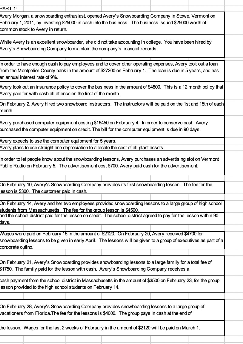
PART 1: Avery Morgan, a snowboarding enthusiast, opened Avery's Snowboarding Company in Stowe, Vermont on February 1, 2011, by investing $25000 in cash into the business. The business issued $25000 worth of common stock to Avery in return. While Avery is an excellent snowboarder, she did not take accounting in college. You have been hired by Avery's Snowboarding Company to maintain the company's financial records. In order to have enough cash to pay employees and to cover other operating expenses, Avery took out a loan from the Montpelier County bank in the amount of $27200 on February 1. The loan is due in 5 years, and has an annual interest rate of 9%. Avery took out an insurance policy to cover the business in the amount of $4800. This is a 12 month policy that Avery paid for with cash all at once on the first of the month. On February 2, Avery hired two snowboard instructors. The instructors will be paid on the 1st and 15th of each month. Avery purchased computer equipment costing $16450 on February 4. In order to conserve cash, Avery purchased the computer equipment on credit. The bill for the computer equipment is due in 90 days. Avery expects to use the computer equipment for 5 years. Avery plans to use straight line depreciation to allocate the cost of all plant assets. In order to let people know about the snowboarding lessons, Avery purchases an advertising slot on Vermont Public Radio on February 5. The advertisement cost $700. Avery paid cash for the advertisement. On February 10, Avery's Snowboarding Company provides its first snowboarding lesson. The fee for the esson is $300. The customer paid in cash. On February 14, Avery and her two employees provided snowboarding lessons to a large group of high school students from Massachusetts. The fee for the group lesson is $4500, and the school district paid for the lesson on credit. The school district agreed to pay for the lesson within 90 days. Wages were paid on February 15 in the amount of \$2120. On February 20, Avery received $4700 for snowboarding lessons to be given in early April. The lessons will be given to a group of executives as part of a corporate outing. On February 21, Avery's Snowboarding provides snowboarding lessons to a large family for a total fee of \$1750. The family paid for the lesson with cash. Avery's Snowboarding Company receives a cash payment from the school district in Massachusetts in the amount of $3500 on February 23 , for the group lesson provided to the high school students on February 14. On February 28, Avery's Snowboarding Company provides snowboarding lessons to a large group of vacationers from Florida.The fee for the lessons is $4000. The group pays in cash at the end of the lesson. Wages for the last 2 weeks of February in the amount of $2120 will be paid on March 1. PART 2: Because the business did so well in its first month of operation, on March 1, Avery decided to open a retail store to complement the snowboarding lesson business. To begin, the retail store will sell snowboards only. If the retail business is profitable, Avery may expand the store's offerings to include coats, hats, boots, goggles, and other snowboarding equipment. On the first of the month, Avery paid 6 months' rent for the store in advance at $2200 per month. Avery purchased supplies for the store in the amount of $425 in cash from the Burlington Supply Co on March 1 as well. Wages were paid on March 1 in the amount of $2120. These wages covered the last 2 weeks of February. On March 2, Avery placed an order for snowboards in the amount of $7600 from the Mad River Snow Board Manufacturing Company. Avery purchased furniture and fixtures for $4500 on March 3. You determine that the useful life of the furniture and fixtures is 7 years. Avery pays cash for the furniture and fixtures. The store received the delivery of snowboards from the Mad River Snow Board Manufacturing Company worth $7600 on March 4. In order to conserve cash, Avery purchased the snowboards on credit. The bill for the snowboards is due in 45 days. Joumal entries to record sales are entered into the general journal weekly. On March 7 , week 1 sales were recorded. Week one sales were $4200. Of this amount, $2300 was in cash, the remainder on credit. The cost of the snowboards sold was $2167. The inventory account is updated at the same time sales are recorded. On March 12 Avery paid $749 to the Mad River Snow Board Manufacturing Company for the snowboards received on March 7. Wages were paid on March 15 in the amount of $2120. These wages covered the first two weeks of March. Sales for week 2 were recorded on March 15. Sales for week two totaled $4300. Of this amount, $1889 was in cash, the remainder was on credit. The cost of the snowboards sold was $1500. On March 20 , the store received payment of $120 from a customer who purchased a snowboard on credit during week 2. On March 21, a customer returned an unused snowboard. Avery gave the customer a full refund, in the amount of $330 in cash. The snowboard cost Avery $178. On March 23, week 3 sales were recorded. Sales for week 3 totaled $4300. Of this amount, $1700 was in cash, the remainder on credit. The cost of the snowboards sold was $1421. On March 27, Avery paid the Mad River Snow Board Manufacturing Company $1320. On March 31, week 4 sales are recorded. Sales for week 4 totaled $3700. \$1256 was in cash. the remainder on credit. The cost of the snowboards sold was $1073. On March 31, the store received a bill for internet and phone services for the month of March. The amount of the bill is $1098. The bill is due on April 15. You perform an inventory of the supplies on March 31. The count reveals that there is $134 worth of supplies left on hand at the end of the month. Wages for the last 2 weeks of March in the amount of $2120 will be paid on April 1. PART 1: Avery Morgan, a snowboarding enthusiast, opened Avery's Snowboarding Company in Stowe, Vermont on February 1, 2011, by investing $25000 in cash into the business. The business issued $25000 worth of common stock to Avery in return. While Avery is an excellent snowboarder, she did not take accounting in college. You have been hired by Avery's Snowboarding Company to maintain the company's financial records. In order to have enough cash to pay employees and to cover other operating expenses, Avery took out a loan from the Montpelier County bank in the amount of $27200 on February 1. The loan is due in 5 years, and has an annual interest rate of 9%. Avery took out an insurance policy to cover the business in the amount of $4800. This is a 12 month policy that Avery paid for with cash all at once on the first of the month. On February 2, Avery hired two snowboard instructors. The instructors will be paid on the 1st and 15th of each month. Avery purchased computer equipment costing $16450 on February 4. In order to conserve cash, Avery purchased the computer equipment on credit. The bill for the computer equipment is due in 90 days. Avery expects to use the computer equipment for 5 years. Avery plans to use straight line depreciation to allocate the cost of all plant assets. In order to let people know about the snowboarding lessons, Avery purchases an advertising slot on Vermont Public Radio on February 5. The advertisement cost $700. Avery paid cash for the advertisement. On February 10, Avery's Snowboarding Company provides its first snowboarding lesson. The fee for the esson is $300. The customer paid in cash. On February 14, Avery and her two employees provided snowboarding lessons to a large group of high school students from Massachusetts. The fee for the group lesson is $4500, and the school district paid for the lesson on credit. The school district agreed to pay for the lesson within 90 days. Wages were paid on February 15 in the amount of \$2120. On February 20, Avery received $4700 for snowboarding lessons to be given in early April. The lessons will be given to a group of executives as part of a corporate outing. On February 21, Avery's Snowboarding provides snowboarding lessons to a large family for a total fee of \$1750. The family paid for the lesson with cash. Avery's Snowboarding Company receives a cash payment from the school district in Massachusetts in the amount of $3500 on February 23 , for the group lesson provided to the high school students on February 14. On February 28, Avery's Snowboarding Company provides snowboarding lessons to a large group of vacationers from Florida.The fee for the lessons is $4000. The group pays in cash at the end of the lesson. Wages for the last 2 weeks of February in the amount of $2120 will be paid on March 1. PART 2: Because the business did so well in its first month of operation, on March 1, Avery decided to open a retail store to complement the snowboarding lesson business. To begin, the retail store will sell snowboards only. If the retail business is profitable, Avery may expand the store's offerings to include coats, hats, boots, goggles, and other snowboarding equipment. On the first of the month, Avery paid 6 months' rent for the store in advance at $2200 per month. Avery purchased supplies for the store in the amount of $425 in cash from the Burlington Supply Co on March 1 as well. Wages were paid on March 1 in the amount of $2120. These wages covered the last 2 weeks of February. On March 2, Avery placed an order for snowboards in the amount of $7600 from the Mad River Snow Board Manufacturing Company. Avery purchased furniture and fixtures for $4500 on March 3. You determine that the useful life of the furniture and fixtures is 7 years. Avery pays cash for the furniture and fixtures. The store received the delivery of snowboards from the Mad River Snow Board Manufacturing Company worth $7600 on March 4. In order to conserve cash, Avery purchased the snowboards on credit. The bill for the snowboards is due in 45 days. Joumal entries to record sales are entered into the general journal weekly. On March 7 , week 1 sales were recorded. Week one sales were $4200. Of this amount, $2300 was in cash, the remainder on credit. The cost of the snowboards sold was $2167. The inventory account is updated at the same time sales are recorded. On March 12 Avery paid $749 to the Mad River Snow Board Manufacturing Company for the snowboards received on March 7. Wages were paid on March 15 in the amount of $2120. These wages covered the first two weeks of March. Sales for week 2 were recorded on March 15. Sales for week two totaled $4300. Of this amount, $1889 was in cash, the remainder was on credit. The cost of the snowboards sold was $1500. On March 20 , the store received payment of $120 from a customer who purchased a snowboard on credit during week 2. On March 21, a customer returned an unused snowboard. Avery gave the customer a full refund, in the amount of $330 in cash. The snowboard cost Avery $178. On March 23, week 3 sales were recorded. Sales for week 3 totaled $4300. Of this amount, $1700 was in cash, the remainder on credit. The cost of the snowboards sold was $1421. On March 27, Avery paid the Mad River Snow Board Manufacturing Company $1320. On March 31, week 4 sales are recorded. Sales for week 4 totaled $3700. \$1256 was in cash. the remainder on credit. The cost of the snowboards sold was $1073. On March 31, the store received a bill for internet and phone services for the month of March. The amount of the bill is $1098. The bill is due on April 15. You perform an inventory of the supplies on March 31. The count reveals that there is $134 worth of supplies left on hand at the end of the month. Wages for the last 2 weeks of March in the amount of $2120 will be paid on April 1
Step by Step Solution
There are 3 Steps involved in it
Get step-by-step solutions from verified subject matter experts
