Question: Part 1: Simplifying Rational Expressions: 1.) Will a rational expression always have at least one non-permissible value? Give reasons and/or an example to support your
Part 1: Simplifying Rational Expressions:
1.) Will a rational expression always have at least one non-permissible value?
Give reasons and/or an example to support your answer.
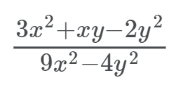
Identify the non-permissible value(s) for x in each of the following rational expressions.
Just type the number for the non-permissible value(s).
2.)







Step by Step Solution
There are 3 Steps involved in it
Get step-by-step solutions from verified subject matter experts
