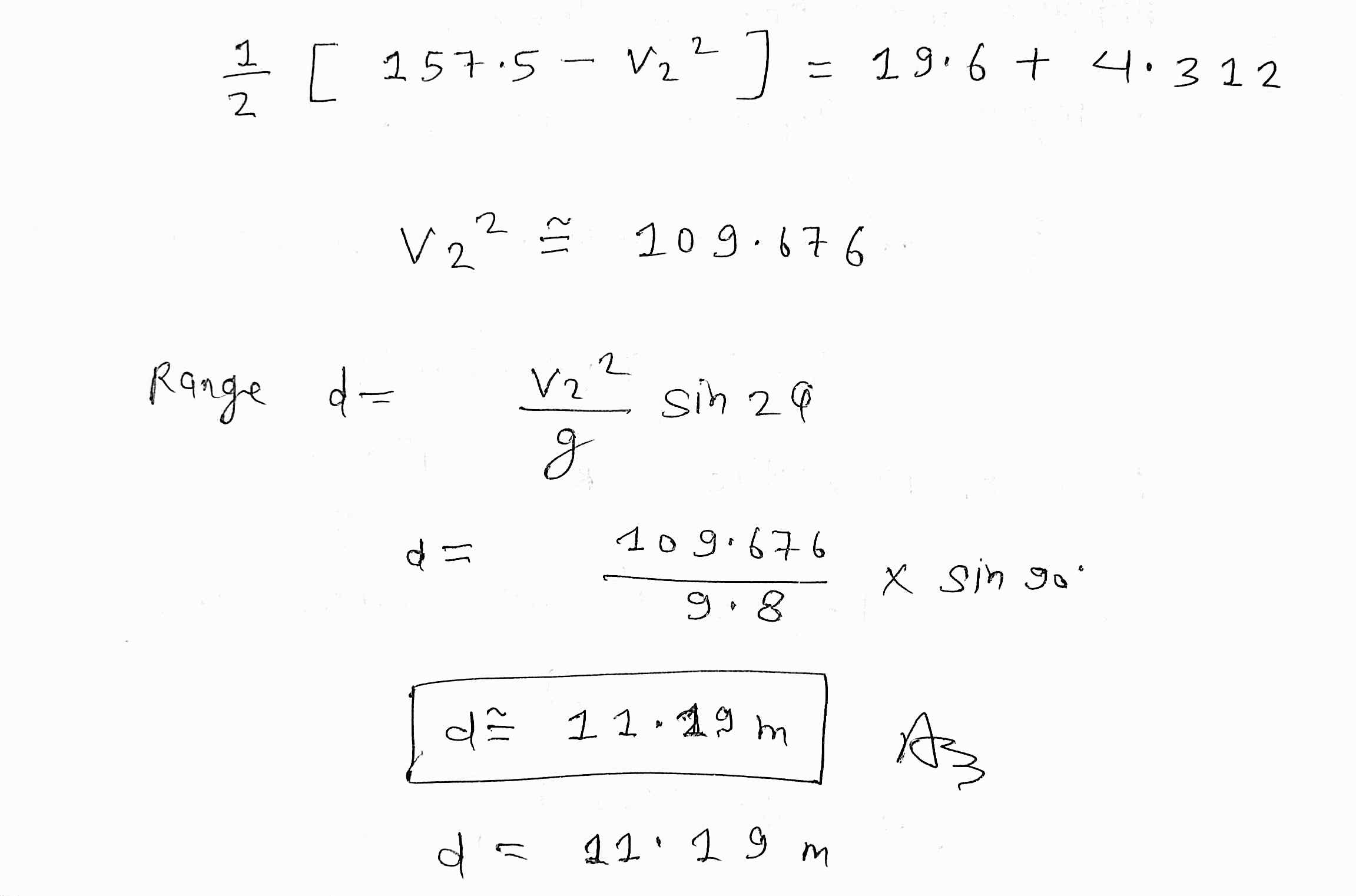
Question: Part A The spring in the figure has a spring constant of 1400 N/m . It is compressed 15.0 cm , then launches a 200


Part A The spring in the figure has a spring constant of 1400 N/m . It is compressed 15.0 cm , then launches a 200 g block. The horizontal surface is frictionless, but the block's coefficient of kinetic friction on What distance d does the block sail through the air? the incline is 0.220. Express your answer with the appropriate units. (Figure 1) ? 9.13 m Submit Previous Answers Request Answer X Incorrect; Try Again; 4 attempts remaining Provide Feedback Figure
Step by Step Solution
There are 3 Steps involved in it
Get step-by-step solutions from verified subject matter experts
