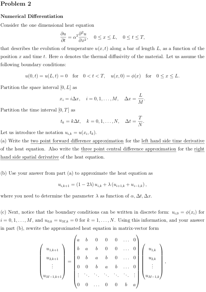
Question: Part (d) and (e) ONLY. Requires matlab. Thx. Solutions to part (a), (b), and (c) are given. Problem 2 Numerical Differentiation Consider the one dimensional

Part (d) and (e) ONLY. Requires matlab. Thx.

Solutions to part (a), (b), and (c) are given.

Part (d) and (e) ONLY. Requires matlab. Thx. Solutions to part (a),(b), and (c) are given. Problem 2 Numerical Differentiation Consider the onedimensional heat equation au au at = a 2 0image text in transcribedimage text in transcribedimage text in transcribed

Problem 2 Numerical Differentiation Consider the one dimensional heat equation au au at = a 2 0

Step by Step Solution

There are 3 Steps involved in it

1 Expert Approved Answer
Step: 1 Unlock blur-text-image
Question Has Been Solved by an Expert!

Get step-by-step solutions from verified subject matter experts

Step: 2 Unlock
Step: 3 Unlock

Students Have Also Explored These Related Databases Questions!