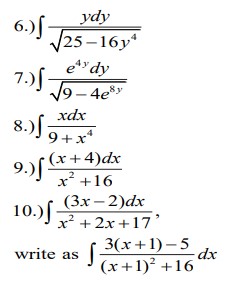
Question: Perform the indicated integrations. Please answer directly with a solution first before explanation if possible 6.)] ydy 25-16y* ey dy 7.)) 19-4e xdx 8.) 9+
Perform the indicated integrations. Please answer directly with a solution first before explanation if possible

6.)] ydy 25-16y* ey dy 7.)) 19-4e xdx 8.) 9+ x (x+4)dx x +16 10.) (3x -2)dx x'+2x+17' 3(x+1) -5 write as dx (x+1) +16
Step by Step Solution
There are 3 Steps involved in it
Get step-by-step solutions from verified subject matter experts
