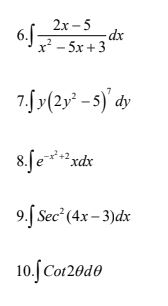
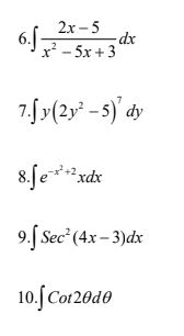
Question: Please answer 6- 10 and please make it clean and readable please. 6. 2x - 5 dx x- - 5x+3 7.[y(2y' -5) dy 8.fex+2 xdx

Please answer 6- 10 and please make it clean and readable please.

6. 2x - 5 dx x- - 5x+3 7.[y(2y' -5) dy 8.fex+2 xdx 9.[ Sec' (4x-3)dx 10. Cot 20do
Step by Step Solution
There are 3 Steps involved in it
Get step-by-step solutions from verified subject matter experts
